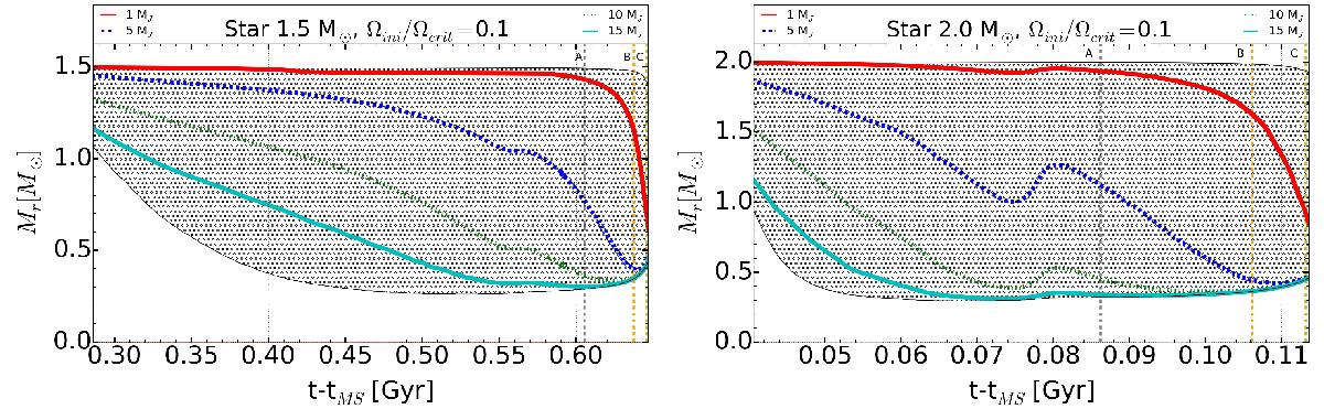
Fig. 1

Kippenhahn diagram during the red giant phase. The central radiative zone and the convective envelope are represented by a white area and an area with black dots, respectively. The horizontal axis is the age of the star minus its main-sequence lifetime (tMS). The four lines indicate the limit layers that can be reached by the planets of mass 1 MJ (red solid line), 5 MJ (blue dashed line), 10 MJ (green dash-dotted line), and 15 MJ (continuous cyan line). The vertical dashed lines labelled A, B, and C indicate when the engulfment occurs for the 15 MJ planet at an initial distance of 0.5 au, the 10 MJ planet at an initial distance of 1.0 au, and the 1 MJ planet at an initial distance of 1.5 au, respectively. All the other cases occur between the lines A and C. The left panel corresponds to a model star of 1.5 M⊙ and the right panel to a mass of 2 M⊙.
Current usage metrics show cumulative count of Article Views (full-text article views including HTML views, PDF and ePub downloads, according to the available data) and Abstracts Views on Vision4Press platform.
Data correspond to usage on the plateform after 2015. The current usage metrics is available 48-96 hours after online publication and is updated daily on week days.
Initial download of the metrics may take a while.