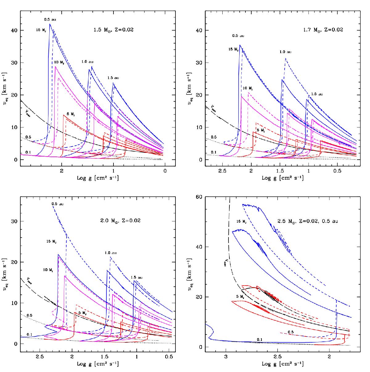
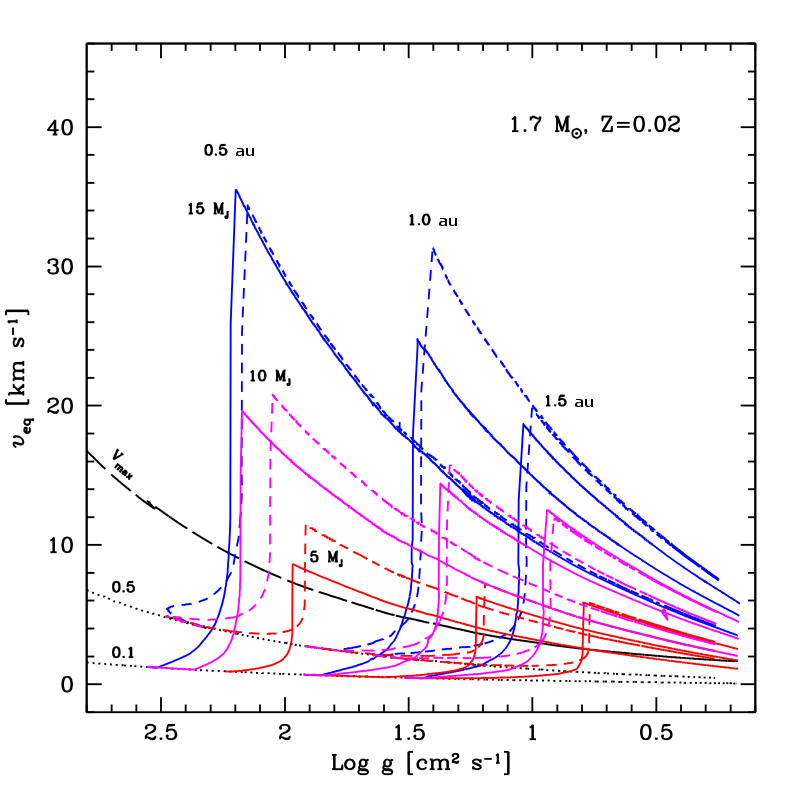
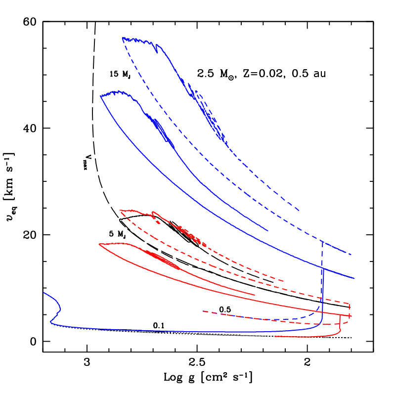
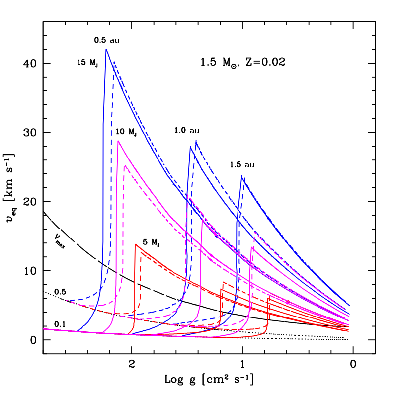
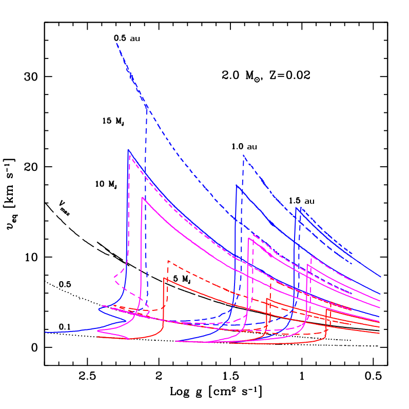
Fig. 2

Evolution of the surface velocity as a function of the logarithm of the surface gravity. Dotted (black) lines are for stars without engulfment. Cases for Ω / Ωini = 0.1 and 0.5 are shown. The black long-dashed line (labelled Vmax) corresponds to solid body rotation without engulfment starting with an initial rotation near the critical velocity (see text). Continuous lines correspond to cases with planet engulfment for stars with an initial velocity equal to 10% the critical value and the short-dashed lines correspond to the same cases but for an initial rotation equal to 50% of the critical value. The different colours for solid and dashed lines are for planet masses of 5 (red), 10 (magenta), and 15 MJ (blue) and initial orbital distances of 0.5, 1, and 1.5 au from left to right (see labels). The different panels are for different values of the mass of the star. In the case of 2.5 M⊙, the evolution is pursued until the end of the core He-burning phase, while for lower initial mass stars, the evolution is stopped at the tip of the red giant branch.
Current usage metrics show cumulative count of Article Views (full-text article views including HTML views, PDF and ePub downloads, according to the available data) and Abstracts Views on Vision4Press platform.
Data correspond to usage on the plateform after 2015. The current usage metrics is available 48-96 hours after online publication and is updated daily on week days.
Initial download of the metrics may take a while.