Free Access
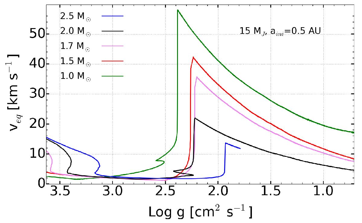
Fig. 4

Evolution of the surface velocity of various initial mass stellar models during the red giant phase as a function of the surface gravity. The initial rotations are between 30 and 50 km s-1. Planets have a mass equal to 15 MJ and the orbits have an initial semimajor axis equal to 0.5 au.
Current usage metrics show cumulative count of Article Views (full-text article views including HTML views, PDF and ePub downloads, according to the available data) and Abstracts Views on Vision4Press platform.
Data correspond to usage on the plateform after 2015. The current usage metrics is available 48-96 hours after online publication and is updated daily on week days.
Initial download of the metrics may take a while.