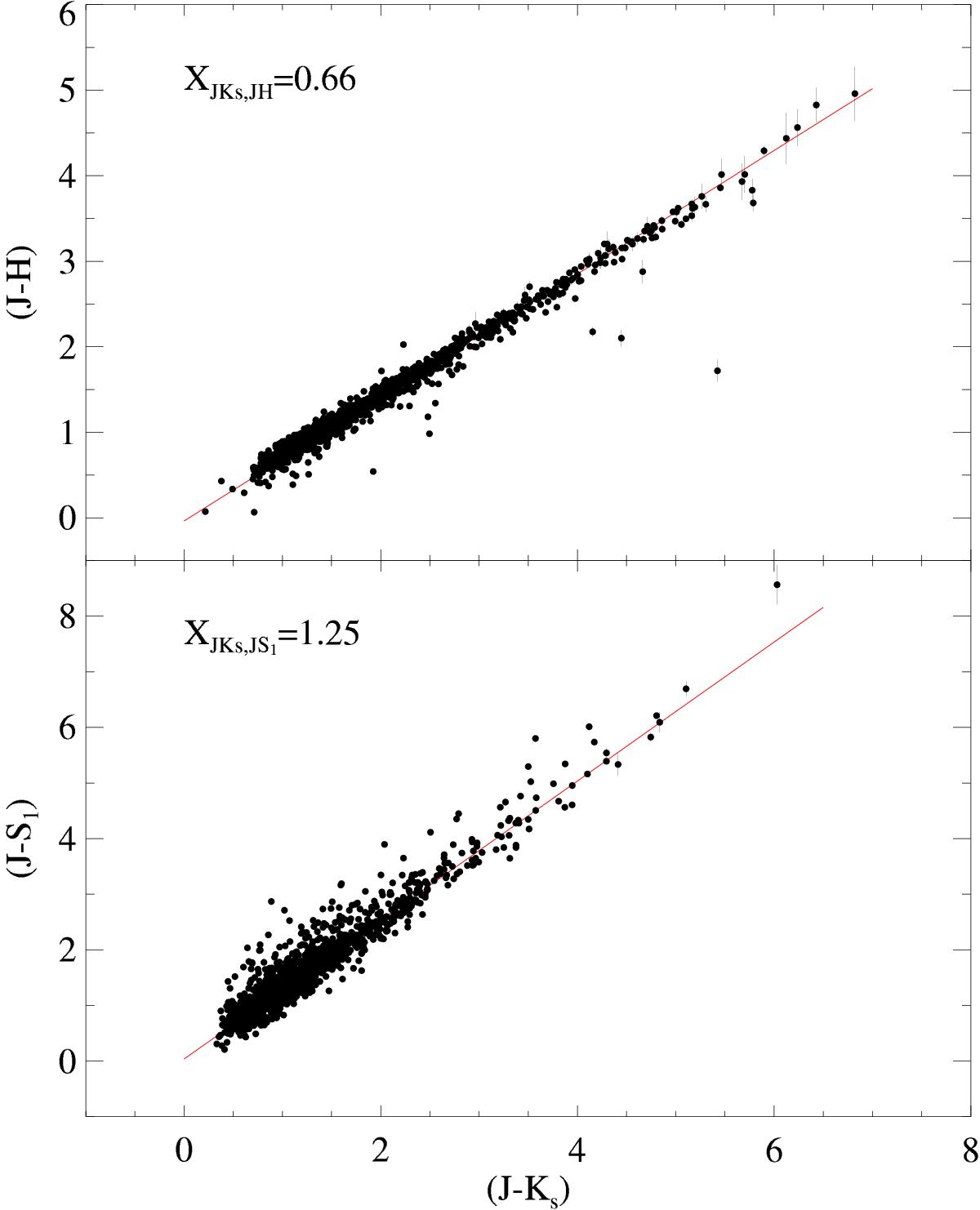
Fig. 1

Apparent color ratios for Type II Cepheids (top panel) and RR Lyrae (lower panel) variables identified in the VVV and GLIMPSE surveys (S1 ≃ 3.6 μm). The stars are key for establishing a sizable Galactocentric baseline to evaluate reputed extinction ratio variations. For clarity purposes, only uncertainties along the ordinate are displayed.
Current usage metrics show cumulative count of Article Views (full-text article views including HTML views, PDF and ePub downloads, according to the available data) and Abstracts Views on Vision4Press platform.
Data correspond to usage on the plateform after 2015. The current usage metrics is available 48-96 hours after online publication and is updated daily on week days.
Initial download of the metrics may take a while.