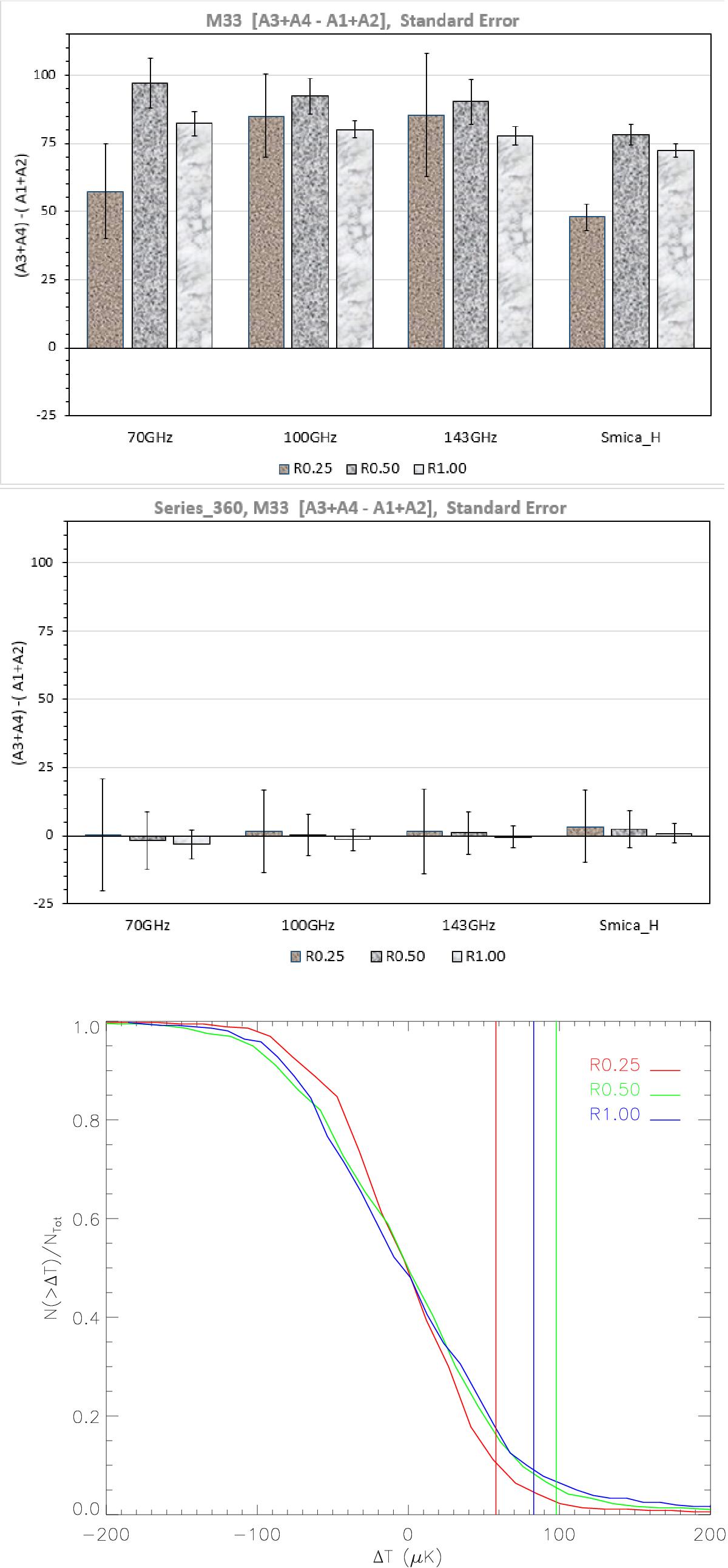
Fig. 2

Upper panel: temperature asymmetry toward M 33 in μK (with the standard errors) of regions A3 and A4 with respect to regions A1 and A2 in the Planck bands within three radial distances of 15′ (R0.25), 30′ (R0.50), and 1° (R1.00). Central panel: the same for the 360 control fields with the same geometry (shown in Fig. 1) equally spaced at one degree distance to each other in Galactic longitude and at the same latitude as M 33. We also present (indicated with SMICA_H) the result obtained from the foreground-cleaned map. Bottom panel: cumulative distribution of the temperature asymmetry values in the 70 GHz Planck band within R0.25, R0.50, and R1.00. The vertical lines show for each region the value measured toward M 33.
Current usage metrics show cumulative count of Article Views (full-text article views including HTML views, PDF and ePub downloads, according to the available data) and Abstracts Views on Vision4Press platform.
Data correspond to usage on the plateform after 2015. The current usage metrics is available 48-96 hours after online publication and is updated daily on week days.
Initial download of the metrics may take a while.