Free Access
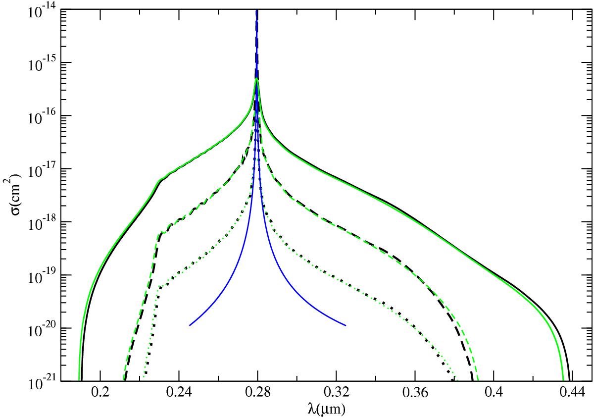
Fig. 5

Variation with He atom density of the P3/2 component at T = 6000 K. GG potentials (black curves), VA potentials (green curves). From top to bottom nHe = 1022, 1021, and 1020 cm-3. The corresponding Lorentzian profile for nHe = 1020 cm-3 is overplotted (blue line).
Current usage metrics show cumulative count of Article Views (full-text article views including HTML views, PDF and ePub downloads, according to the available data) and Abstracts Views on Vision4Press platform.
Data correspond to usage on the plateform after 2015. The current usage metrics is available 48-96 hours after online publication and is updated daily on week days.
Initial download of the metrics may take a while.