Free Access
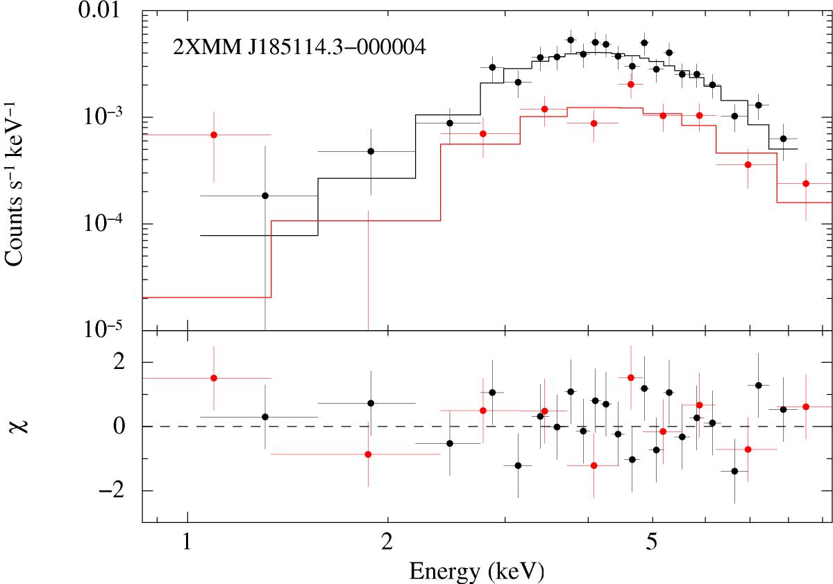
Fig. 5

Merged XMM-Newton EPIC-pn+MOS1+MOS2 spectra extracted from the observations 0017740401 (black) and 0017740501 (red). The best-fit model is obtained with an absorbed power law. The residuals from the fit are shown in the bottom panel.
Current usage metrics show cumulative count of Article Views (full-text article views including HTML views, PDF and ePub downloads, according to the available data) and Abstracts Views on Vision4Press platform.
Data correspond to usage on the plateform after 2015. The current usage metrics is available 48-96 hours after online publication and is updated daily on week days.
Initial download of the metrics may take a while.