Free Access
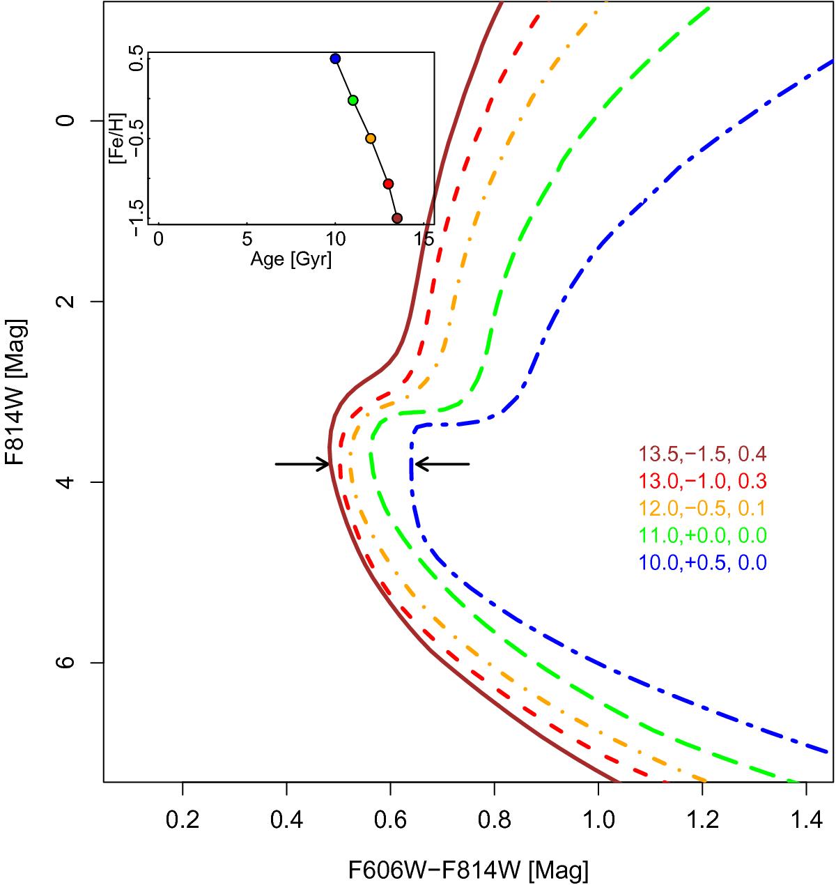
Fig. 4

Case (b): isochrones at 10, 11, 12, 13, and 13.5 Gyr and metallicities +0.3, 0.0, −0.5, −1.0, and −1.5 dex. The level of alpha elements is indicated in the plot. The two arrows at the turn-off are separated by 0.17 mag. The age, metallicity, and [α/Fe] abundance are plotted for each isochrone.
Current usage metrics show cumulative count of Article Views (full-text article views including HTML views, PDF and ePub downloads, according to the available data) and Abstracts Views on Vision4Press platform.
Data correspond to usage on the plateform after 2015. The current usage metrics is available 48-96 hours after online publication and is updated daily on week days.
Initial download of the metrics may take a while.