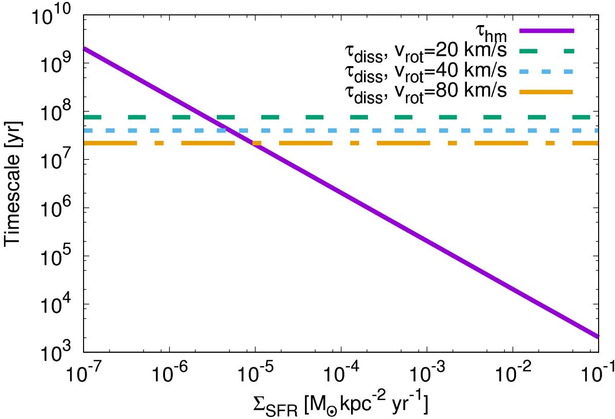
Fig. 2

Turbulence injection timescale (or timescale of massive star formation) compared to turbulence dissipation timescale in dwarf galaxies with rotational velocities of 20 km s-1, 40 km s-1, and 80 km s-1. The timescales are shown as a function of star formation surface density. The critical star formation surface density is found to be ~ 10-5M⊙ kpc-2 yr-1, with only a weak dependence of the rotational velocity. The size of the star-forming region is assumed to be 0.5 kpc.
Current usage metrics show cumulative count of Article Views (full-text article views including HTML views, PDF and ePub downloads, according to the available data) and Abstracts Views on Vision4Press platform.
Data correspond to usage on the plateform after 2015. The current usage metrics is available 48-96 hours after online publication and is updated daily on week days.
Initial download of the metrics may take a while.