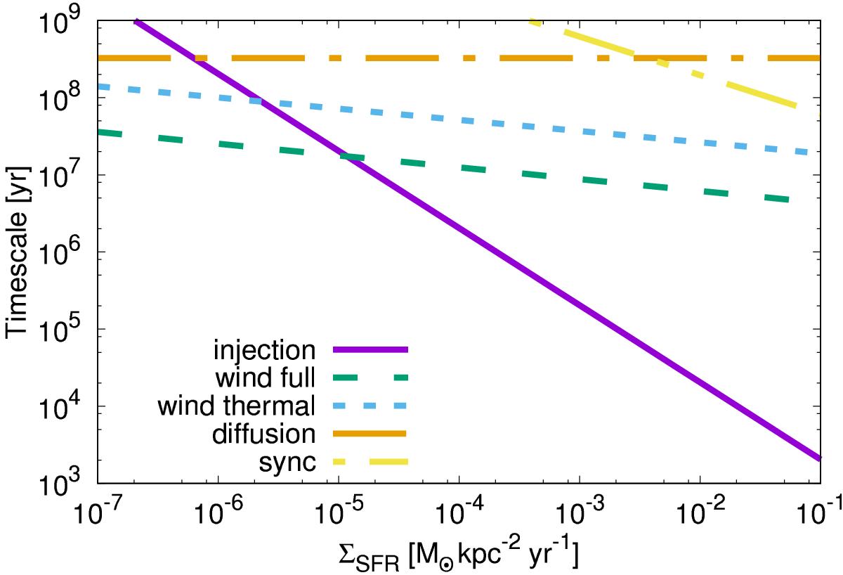
Fig. 4

Characteristic timescales for cosmic-ray loss mechanisms for a reference model with Rdisk = 0.5 kpc and a rotational velocity of 20 km s-1 of the star-forming region. Shown are in particular the injection timescale of the cosmic rays, defined as the timescale for massive star formation, the adiabatic losses for a full and a thermally driven wind model, and the timescale for cosmic-ray diffusion and for synchrotron losses. The dominant loss mechanism in this regime is due to the full wind model, while cosmic-ray diffusion would imply a transition for lower star formation rates. Injection timescales longer than the characteristic timescales for losses may induce significant fluctuations in the nonthermal radio emission. We note that the cosmic-ray diffusion timescale implicitly assumes an observed frequency of 1 GHz, while higher-frequency observations may probe more energetic cosmic rays with shorter diffusion times.
Current usage metrics show cumulative count of Article Views (full-text article views including HTML views, PDF and ePub downloads, according to the available data) and Abstracts Views on Vision4Press platform.
Data correspond to usage on the plateform after 2015. The current usage metrics is available 48-96 hours after online publication and is updated daily on week days.
Initial download of the metrics may take a while.