Fig. 4

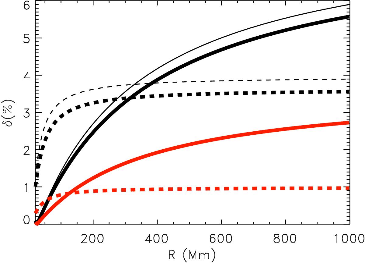
Parameter δ (Eq. (36)) as a function of radius of curvature R. The black and red lines correspond to δ(0,ϵ2) and δ(ϵ1,0), respectively. The solid black thick line is δ(0,ϵ2 = 0.01 Mm-2) whereas the solid black thin line corresponds to δ(0,ϵ2 = −0.01 Mm-2) for the fundamental mode. The black dashed lines are the same but for the first overtone. The solid red line is δ(ϵ1 = 0.1 Mm-1,0) for the fundamental mode and the dashed red line is the same for the first overtone. The remaining parameters are L = 100 Mm, l = 5 Mm, csc = 200 km s-1, and χ = 100, as in Fig. 3.
Current usage metrics show cumulative count of Article Views (full-text article views including HTML views, PDF and ePub downloads, according to the available data) and Abstracts Views on Vision4Press platform.
Data correspond to usage on the plateform after 2015. The current usage metrics is available 48-96 hours after online publication and is updated daily on week days.
Initial download of the metrics may take a while.