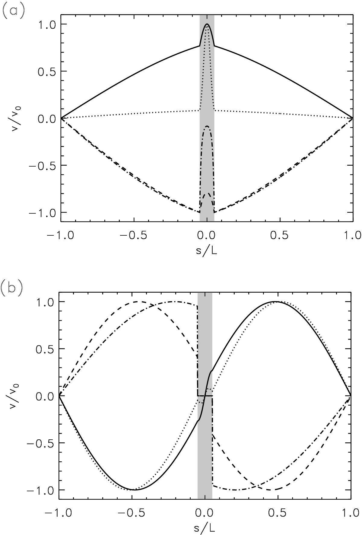
Fig. 5

Normalized velocities of: a) the fundamental mode (first-kind) for ϵ2 = 0.01 Mm-2 (solid line), 0.1 Mm-2 (dotted line), −0.01 Mm-2 (dashed line), and −0.1 Mm-2 (dot-dashed line); b) the first overtone (second-kind) for different expansion parameters. The half-length of the tube is set to L = 100 Mm, the thread half-length l = 5 Mm, the radius of curvature R = 60 Mm, the coronal sound speed csc = 200 km s-1 , the contrast χ = 100, and ϵ2 = 0.005 Mm-2. The shaded area represents the position of the cool prominence plasma.
Current usage metrics show cumulative count of Article Views (full-text article views including HTML views, PDF and ePub downloads, according to the available data) and Abstracts Views on Vision4Press platform.
Data correspond to usage on the plateform after 2015. The current usage metrics is available 48-96 hours after online publication and is updated daily on week days.
Initial download of the metrics may take a while.