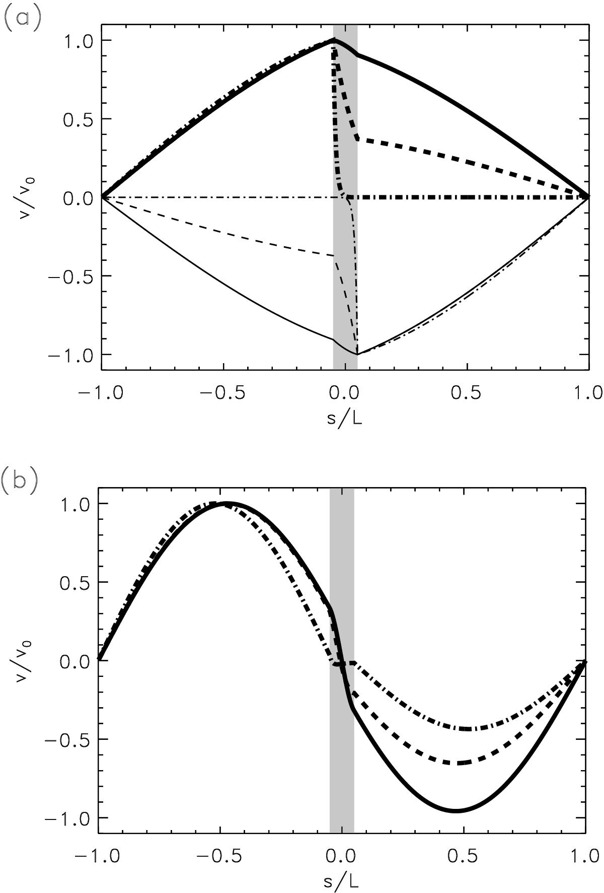
Fig. 7

First- and second-kind solutions for the asymmetric tube. In a) the thick lines correspond to first-kind solutions with positive expansion parameters ϵ1 = 0.01 Mm-1 (solid line), ϵ1 = 0.1 Mm-1 (dashed line), and ϵ1 = 1 Mm-1 (dot-dashed line). The thin lines correspond to negative expansion parameters ϵ1 = −0.01 Mm-1 (solid line), ϵ1 = −0.1 Mm-1 (dashed line), and ϵ1 = −1 Mm-1 (dot-dashed line). In this plot it is clear that the solutions with ϵ1 positive or negative are identical under the inversion of the coordinate, s to −s. Similarly, in b) the second-kind solutions are plotted. For simplicity, in b) only positive expansion parameters solutions are plotted.
Current usage metrics show cumulative count of Article Views (full-text article views including HTML views, PDF and ePub downloads, according to the available data) and Abstracts Views on Vision4Press platform.
Data correspond to usage on the plateform after 2015. The current usage metrics is available 48-96 hours after online publication and is updated daily on week days.
Initial download of the metrics may take a while.