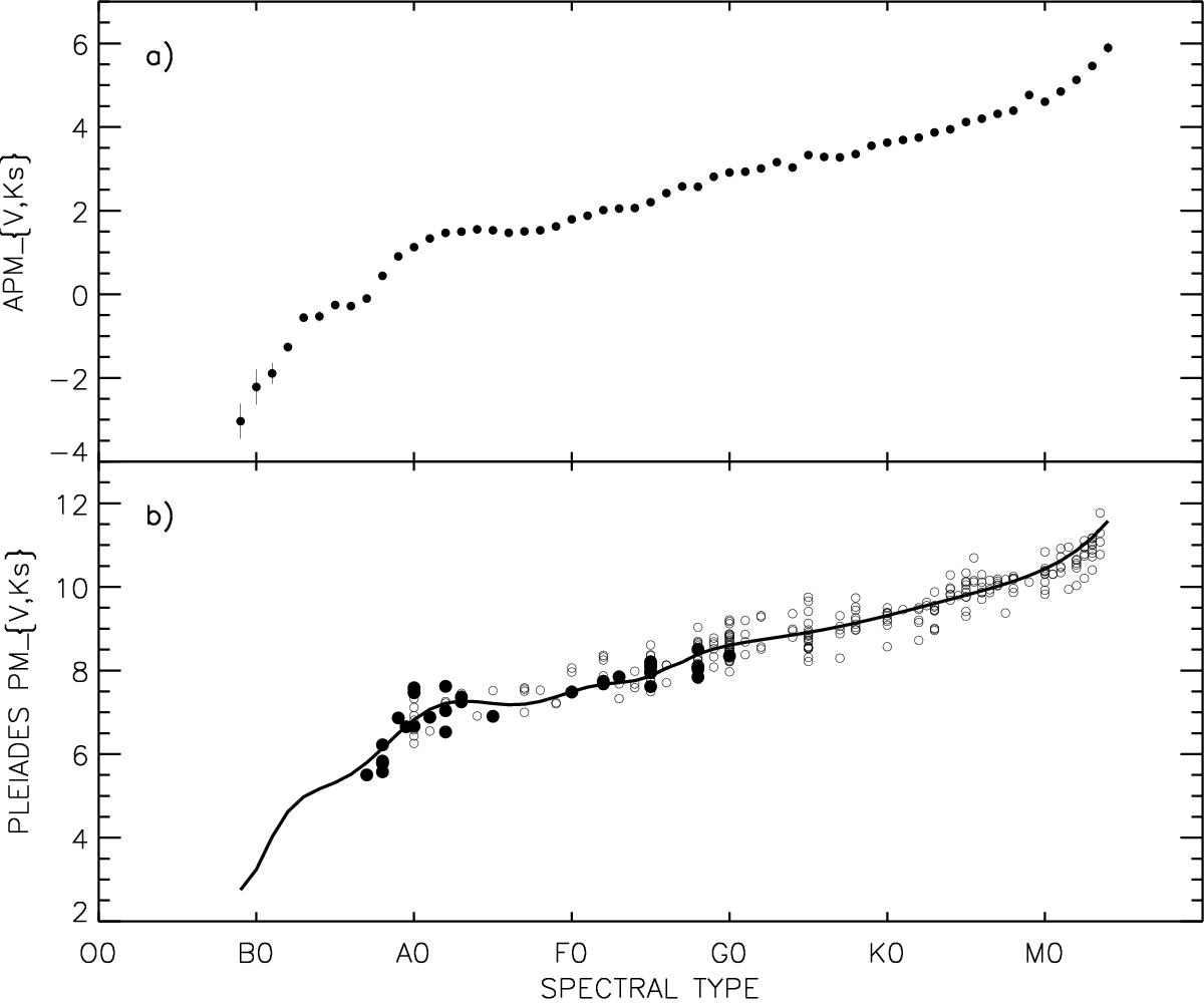
Fig. 2

a) Mean (V,Ks) absolute pseudomagnitudes of field dwarf stars as a function of spectral type; b) open circles: (V,Ks) pseudomagnitudes of 280 Pleiades stars located at less than 0.84 mag (3 times the Gaussian dispersion of Fig. 3) from the Pleiades barycentric distance modulus. Hipparcos stars are identified with larger filled circles, superimposed our main sequence model shifted at the Pleiades distance.
Current usage metrics show cumulative count of Article Views (full-text article views including HTML views, PDF and ePub downloads, according to the available data) and Abstracts Views on Vision4Press platform.
Data correspond to usage on the plateform after 2015. The current usage metrics is available 48-96 hours after online publication and is updated daily on week days.
Initial download of the metrics may take a while.