Free Access
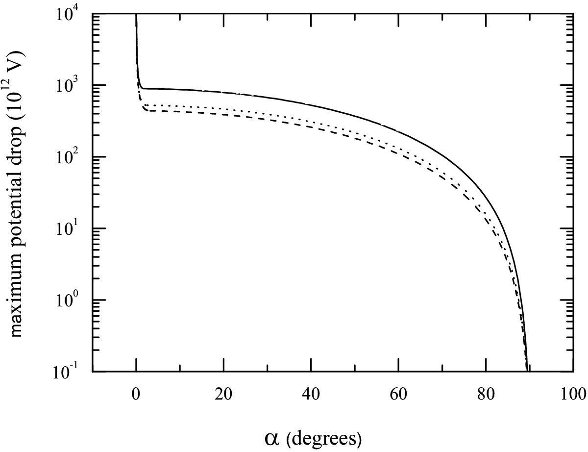
Fig. 2

Relation between the steepest potential drops and the inclination angle α. The solid, dashed, and dotted curves denote the cases of CNS, LMNS, and LMQS, respectively. The input parameters in Eq. (7) are those of Table 1.
Current usage metrics show cumulative count of Article Views (full-text article views including HTML views, PDF and ePub downloads, according to the available data) and Abstracts Views on Vision4Press platform.
Data correspond to usage on the plateform after 2015. The current usage metrics is available 48-96 hours after online publication and is updated daily on week days.
Initial download of the metrics may take a while.