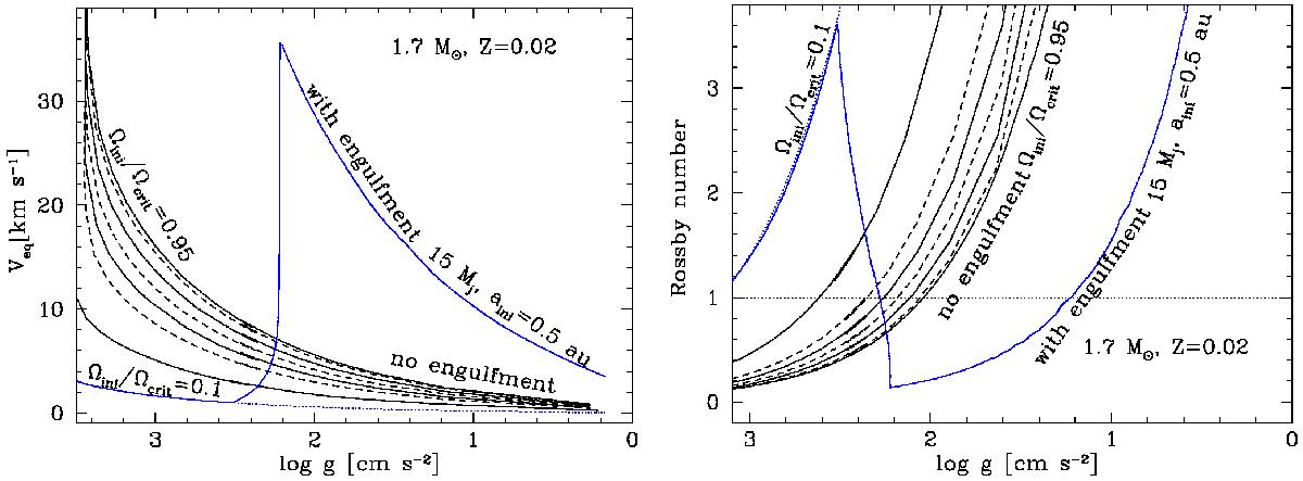
Fig. 1

Left panel: predicted evolution of the surface velocity as a function of the surface gravity for 1.7 M⊙ stellar models along the red giant branch with and without planet engulfment. Different initial rotations on the ZAMS are considered for models without engulfment: Ωini/ Ωcrit = 0.3, 0.5, 0.6, 0.7, 0.8, 0.9, and 0.95 (alternate black continuous and dashed lines). The time-averaged surface velocities during the main-sequence phase of the models vary between about 30 and 240 km s-1. The model with planet engulfment (blue continuous line, the dotted blue line is the model without engulfment) initially had Ωini/ Ωcrit =0.1 and a 15 MJ planet orbiting at a distance equal to 0.5 au. The engulfment occurs when the surface gravity of the star is around 2.2. Right panel: evolution of the Rossby number as a function of the surface gravity for the same stellar models along the red giant branch with and without a planet engulfment.
Current usage metrics show cumulative count of Article Views (full-text article views including HTML views, PDF and ePub downloads, according to the available data) and Abstracts Views on Vision4Press platform.
Data correspond to usage on the plateform after 2015. The current usage metrics is available 48-96 hours after online publication and is updated daily on week days.
Initial download of the metrics may take a while.