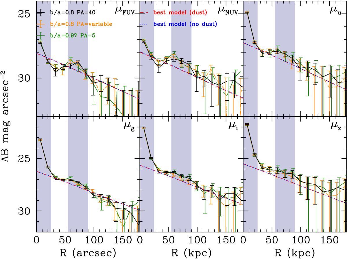
Fig. 4

Surface brightness profiles for Malin 1 assuming three possible geometries (see legend in top-left panel): an axis ratio of 0.8 and a PA of 40 deg, an axis ratio of 0.97 and a PA of 5 deg, or an axis ratio of 0.8 and a variable PA as suggested in Lelli et al. (2010). Profiles have been de-projected to their face-on value. They are compared to the best fit model of Sect. 5.1 including or not dust attenuation. The shaded area presents the regions excluded from the fit (avoiding the bulge and bumps likely related to the spiral structure) but the model is in agreement with the data also in the remaining of the disk (within a few sigma).
Current usage metrics show cumulative count of Article Views (full-text article views including HTML views, PDF and ePub downloads, according to the available data) and Abstracts Views on Vision4Press platform.
Data correspond to usage on the plateform after 2015. The current usage metrics is available 48-96 hours after online publication and is updated daily on week days.
Initial download of the metrics may take a while.