Planck 2015 results
Free Access

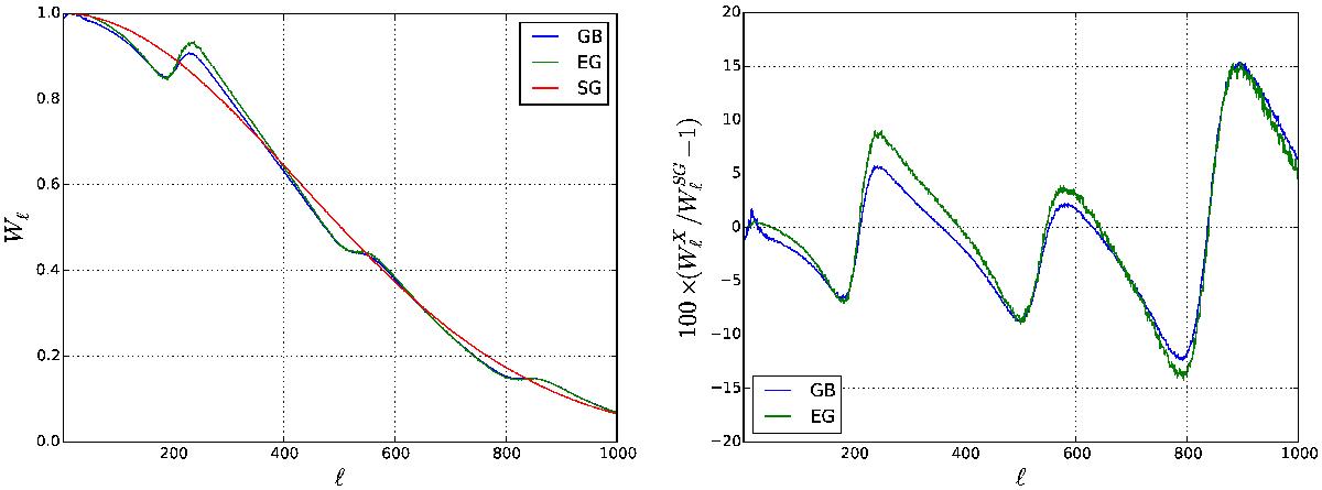
Fig. 12

image

Left: beam window functions computed using GRASP beams (blue curve), elliptical Gaussian beams (with the same descriptive parameters of the GRASP beams, green curve), and circular Gaussian beams (with the same FWHM of the GRASP beams, red curve). Right: per cent difference between the window function computed using GRASP beams and circular Gaussian beams (blue curve). The same ratio using elliptical Gaussian beams instead of GRASP beams is also shown (green curve).

Current usage metrics show cumulative count of Article Views (full-text article views including HTML views, PDF and ePub downloads, according to the available data) and Abstracts Views on Vision4Press platform.

Data correspond to usage on the plateform after 2015. The current usage metrics is available 48-96 hours after online publication and is updated daily on week days.

Initial download of the metrics may take a while.