Planck 2015 results
Free Access

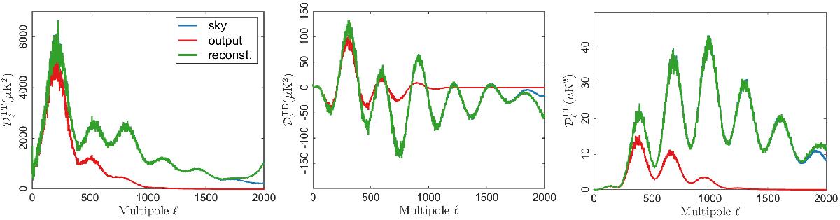
Fig. 17

image

Reconstruction of the sky angular power spectrum using the matrix beam window function. The blue curves show the spectrum of the 50th CMB realization. The red curves show the angular power spectrum of the corresponding output map. The green curves show the result of applying the inverse of the matrix beam window function to it. We note that for ≲ 1700 the blue curve is not visible, since it lies under the green curve, showing that the reconstruction was successful. The left panel shows the TT spectrum, the middle panel the TE spectrum, and the right panel the EE spectrum.

Current usage metrics show cumulative count of Article Views (full-text article views including HTML views, PDF and ePub downloads, according to the available data) and Abstracts Views on Vision4Press platform.

Data correspond to usage on the plateform after 2015. The current usage metrics is available 48-96 hours after online publication and is updated daily on week days.

Initial download of the metrics may take a while.