Planck 2015 results
Free Access

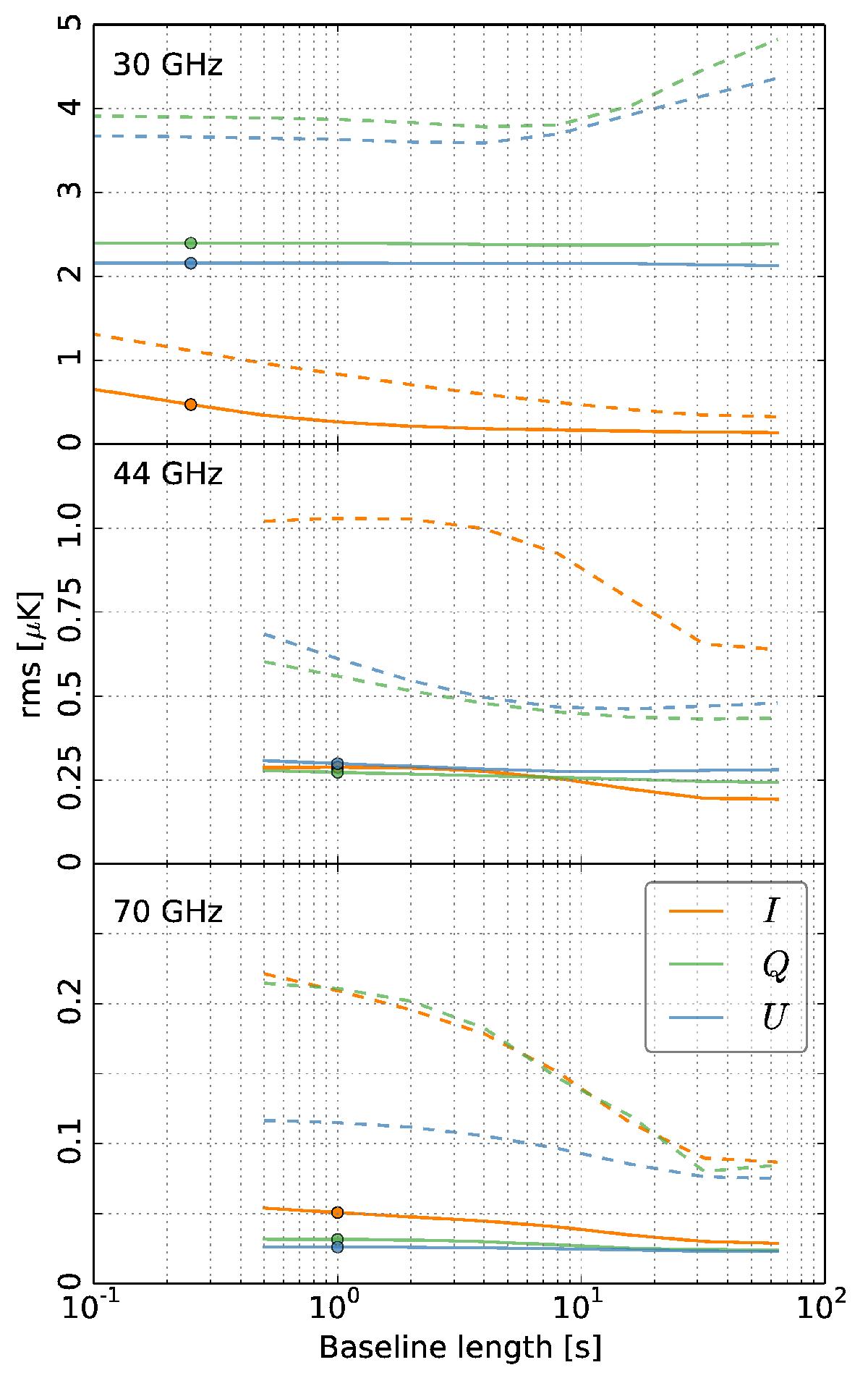
Fig. 4

image

Signal error as a function of baseline length for all LFI frequencies, for I (orange), Q (green), and U (blue). Signal error is computed as the rms of the difference between destriped and binned maps. Solid and dashed lines show the result with and without the destriping mask, respectively.

Current usage metrics show cumulative count of Article Views (full-text article views including HTML views, PDF and ePub downloads, according to the available data) and Abstracts Views on Vision4Press platform.

Data correspond to usage on the plateform after 2015. The current usage metrics is available 48-96 hours after online publication and is updated daily on week days.

Initial download of the metrics may take a while.