Planck 2015 results
Free Access

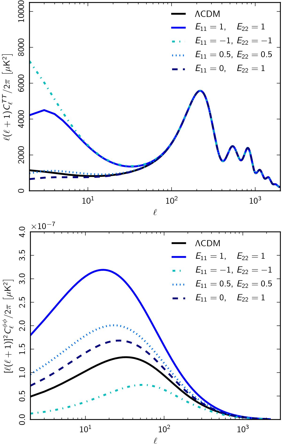
Fig. 1

image

Typical effects of modified gravity on theoretical CMB temperature (top panel) and lensing potential (bottom panel) power spectra. An increase (or decrease) of E22 with respect to zero introduces a gravitational slip, higher at present, when Ωde is higher (see Eqs. (4) and (6)); this in turns changes the Weyl potential and leads to a higher (or lower) lensing potential. On the other hand, whenever E11 and E22 are different from zero (quite independently of their sign) μ and η change in time: as the dynamics in the gravitational potential is increased, this leads to an enhancement in the ISW effect. Note also that even when the temperature spectrum is very close to ΛCDM (as for E11 = E22 = 0.5) the lensing potential is still different with respect to ΛCDM, shown in black.

Current usage metrics show cumulative count of Article Views (full-text article views including HTML views, PDF and ePub downloads, according to the available data) and Abstracts Views on Vision4Press platform.

Data correspond to usage on the plateform after 2015. The current usage metrics is available 48-96 hours after online publication and is updated daily on week days.

Initial download of the metrics may take a while.