Planck 2015 results
Free Access

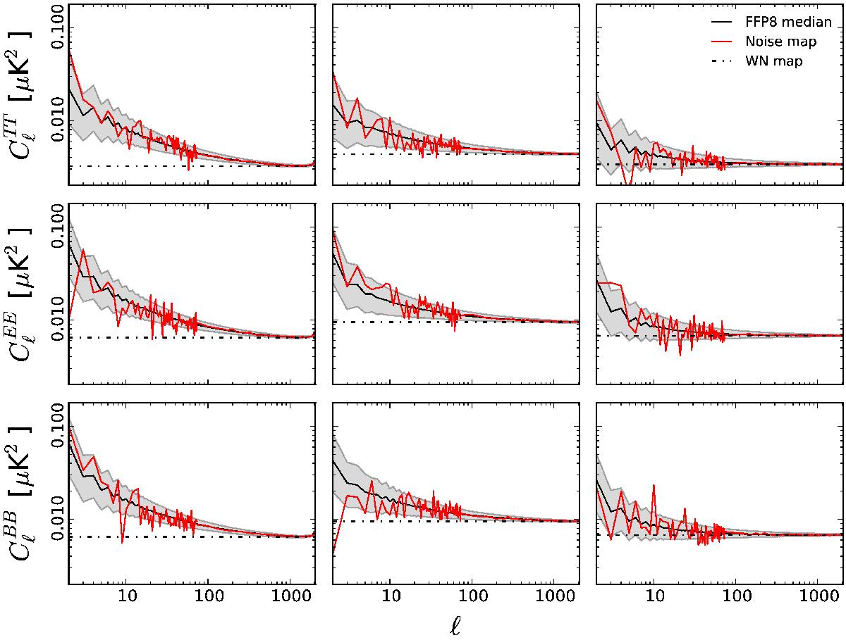
Fig. 16

image

Consistency of the noise angular power spectra from the half-ring difference maps (red), white noise covariance matrix (black dash-dotted line), and 10 000 full-noise MCs (grey band showing 50% quantiles, black solid line, and limits at 16% and 84% quantiles). From top to bottom we have TT, EE, and BB spectra for 30 (left), 44 (centre) and 70 GHz (right). Half-ring spectra are binned with Δ = 75 for ≥ 75.

Current usage metrics show cumulative count of Article Views (full-text article views including HTML views, PDF and ePub downloads, according to the available data) and Abstracts Views on Vision4Press platform.

Data correspond to usage on the plateform after 2015. The current usage metrics is available 48-96 hours after online publication and is updated daily on week days.

Initial download of the metrics may take a while.