Planck 2015 results
Free Access

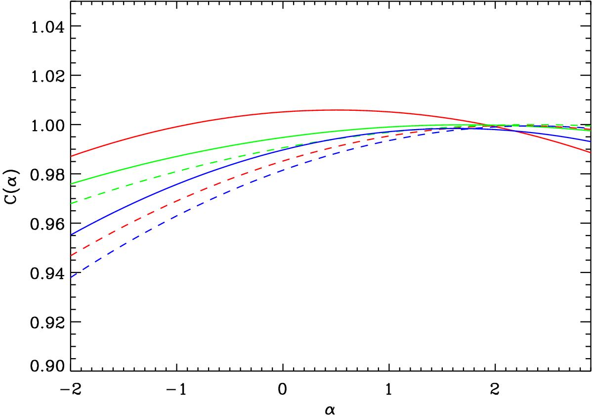
Fig. 7

image

Colour corrections C(α) versus intensity spectral index α. Solid lines are the current corrections given by Table 9, while dashed lines are the 2013 values. Red curves are for the 30 GHz band, green for 44 GHz, and blue for 70 GHz. Note that the corrections have only been validated for α ≲ 0 at 30 and 44 GHz, and for 0 ≲ α ≲ 2.5 at 70 GHz.

Current usage metrics show cumulative count of Article Views (full-text article views including HTML views, PDF and ePub downloads, according to the available data) and Abstracts Views on Vision4Press platform.

Data correspond to usage on the plateform after 2015. The current usage metrics is available 48-96 hours after online publication and is updated daily on week days.

Initial download of the metrics may take a while.