Planck 2015 results
Free Access

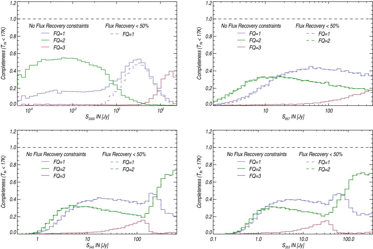
Fig. 5

image

Completeness (computed on a restricted sample of sources with injected temperature below 17 K) as a function of the injected flux density in the IRAS 3 THz (top left panel) and Planck upper frequency bands, 857 GHz (top right panel), 545 GHz (bottom left panel), and 353 GHz (bottom right panel). It is shown per-category of flux density quality, i.e., FQ = 1, 2 and 3 categories (blue, green and pink, respectively). The completeness is also computed on a more restricted sample of sources with injected temperature below 17 K and with a flux density accuracy better than 50% (dashed lines).

This figure is made of several images, please see below:

Current usage metrics show cumulative count of Article Views (full-text article views including HTML views, PDF and ePub downloads, according to the available data) and Abstracts Views on Vision4Press platform.

Data correspond to usage on the plateform after 2015. The current usage metrics is available 48-96 hours after online publication and is updated daily on week days.

Initial download of the metrics may take a while.