Planck 2015 results
Free Access

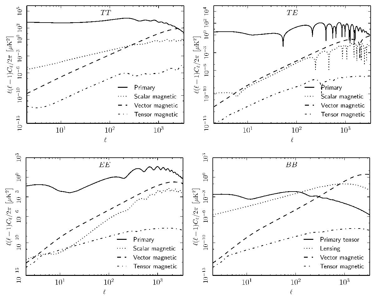
Fig. 1

image

Magnetically-induced CMB TT (top left), TE (top right), EE (bottom left), and BB (bottom right) power spectra. The solid lines represent primary CMB anisotropies, the dotted lines represent magnetically-induced compensated scalar modes (except for the BB panel, where it represents the lensing contributions and the solid line represents primary tensor modes with a tensor-to-scalar ratio of r = 0.1), the dashed lines represent vector modes, whereas the dot-dashed lines represent magnetically-induced compensated tensor modes. We consider PMFs with B1 Mpc = 4.5 nG and nB = −1.

This figure is made of several images, please see below:

Current usage metrics show cumulative count of Article Views (full-text article views including HTML views, PDF and ePub downloads, according to the available data) and Abstracts Views on Vision4Press platform.

Data correspond to usage on the plateform after 2015. The current usage metrics is available 48-96 hours after online publication and is updated daily on week days.

Initial download of the metrics may take a while.