Planck 2015 results
Free Access

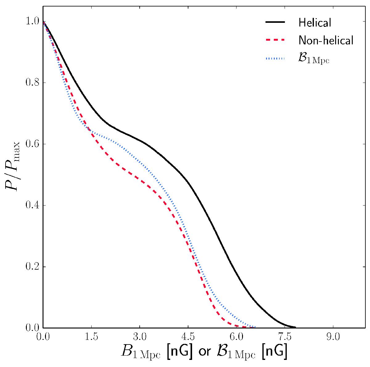
Fig. 11

image

PMF amplitude constraint for the helical case (solid black) compared with the non-helical case (dashed red). The dotted blue line shows the constraint on the amplitude of the helical component as an alternative interpretation of the constraints on the amplitude of PMFs with a helical component.

Current usage metrics show cumulative count of Article Views (full-text article views including HTML views, PDF and ePub downloads, according to the available data) and Abstracts Views on Vision4Press platform.

Data correspond to usage on the plateform after 2015. The current usage metrics is available 48-96 hours after online publication and is updated daily on week days.

Initial download of the metrics may take a while.