Planck 2015 results
Free Access

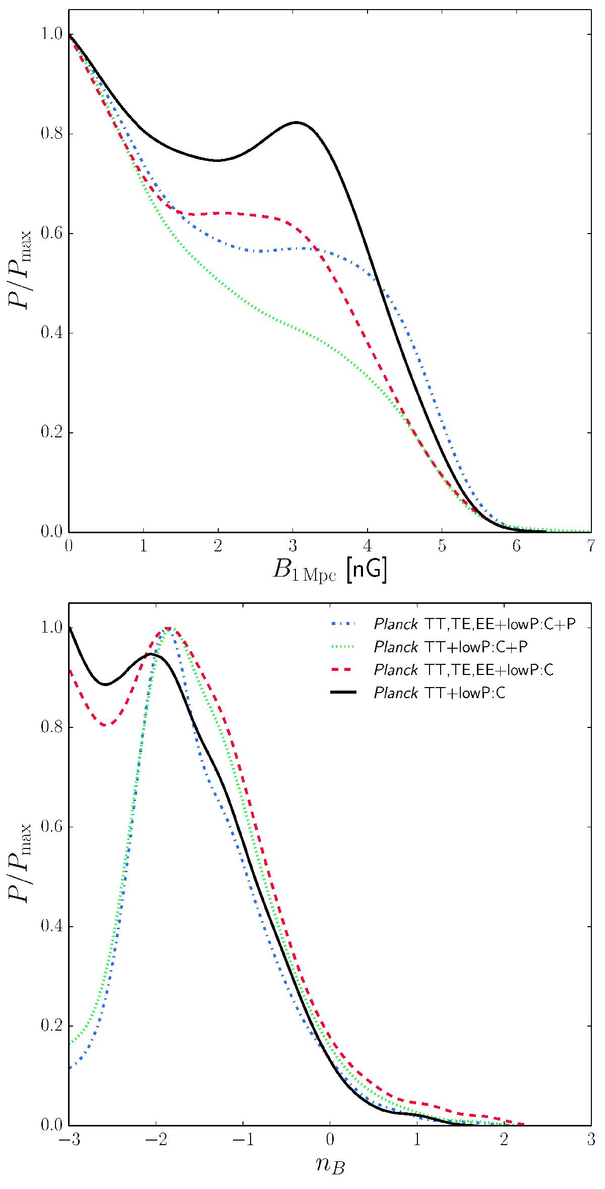
Fig. 7

image

Constraints on the smoothed PMF amplitude (top) and spectral index (bottom) from Planck temperature data with and without the passive tensor contribution. Constraints including both compensated and passive modes are indicated with C+P in the legend, constraints using only compensated modes are marked with C.

This figure is made of several images, please see below:

Current usage metrics show cumulative count of Article Views (full-text article views including HTML views, PDF and ePub downloads, according to the available data) and Abstracts Views on Vision4Press platform.

Data correspond to usage on the plateform after 2015. The current usage metrics is available 48-96 hours after online publication and is updated daily on week days.

Initial download of the metrics may take a while.