Planck 2015 results
Free Access

Fig. 1

image

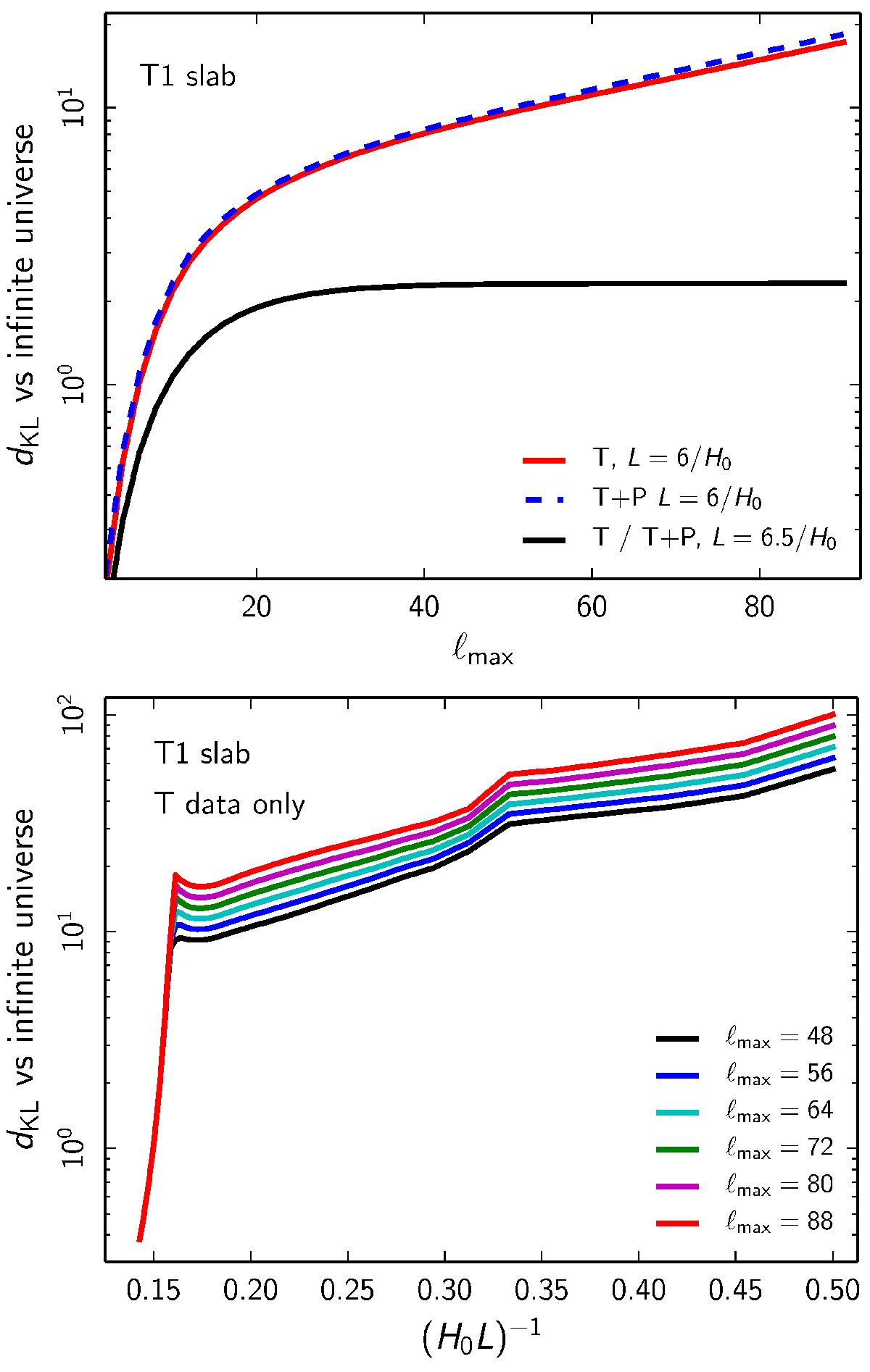
KL divergence of slab (T1) topologies relative to an infinite Universe as a function of max with sizes and (top), and as a function of size L of the fundamental domain for various max (bottom). A torus with , corresponding to (H0L)-1< 0.154, has a fundamental domain that is larger than the distance to the last-scattering surface and leaves only a small trace in the CMB. This is why the KL divergence drops rapidly at this point. Note that the information for continues to rise with max whereas it levels off for the slightly larger case. In the lower panel we see that there is a slight feature in dKL at about half the horizon distance, which is probably due to harmonic effects. The corresponding figures for cubic (T3) topologies look qualitatively similar except that all dKL values are three times larger.

This figure is made of several images, please see below:

Current usage metrics show cumulative count of Article Views (full-text article views including HTML views, PDF and ePub downloads, according to the available data) and Abstracts Views on Vision4Press platform.

Data correspond to usage on the plateform after 2015. The current usage metrics is available 48-96 hours after online publication and is updated daily on week days.

Initial download of the metrics may take a while.