Planck 2015 results
Free Access

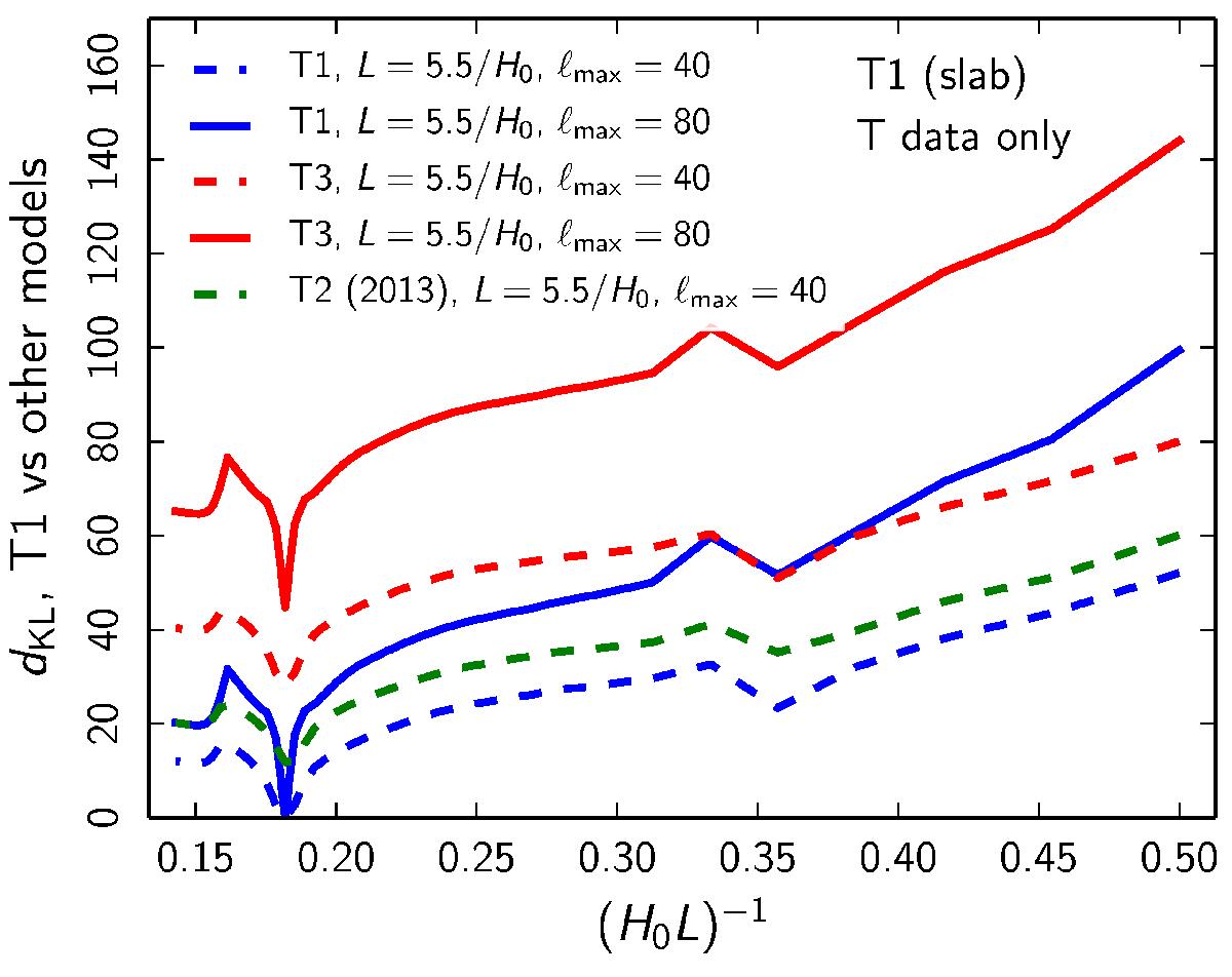
Fig. 2

image

KL divergence of fixed cubic, rod, and slab topologies with fundamental domain side compared to a slab of variable fundamental domain size L. The chimney space T2 dates from the 2013 analysis (Planck Collaboration XXVI 2014) and was computed for the best-fit parameters of that release. In all cases the smallest KL divergence, corresponding to the best fit, appears at , indicating that the slab space can be used to detect other topologies. An additional dip at L ≃ 5.5 / (2H0) may be due to a harmonic effect at half the size of the fundamental domain; it is, however, much smaller than the drop in KL divergence at the size of the fundamental domain.

Current usage metrics show cumulative count of Article Views (full-text article views including HTML views, PDF and ePub downloads, according to the available data) and Abstracts Views on Vision4Press platform.

Data correspond to usage on the plateform after 2015. The current usage metrics is available 48-96 hours after online publication and is updated daily on week days.

Initial download of the metrics may take a while.