Planck 2015 results
Free Access

Fig. 6

image

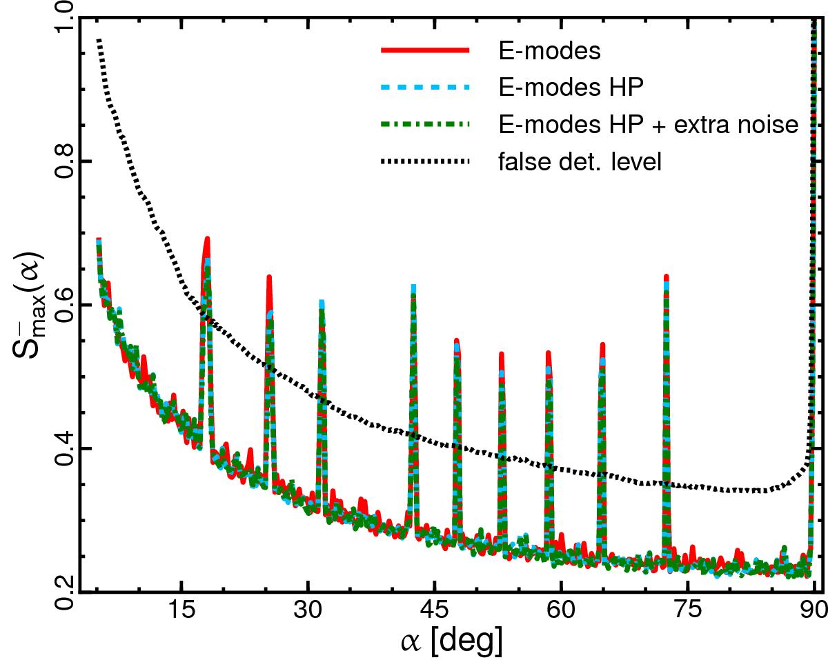
Example statistic as a function of circle radius α for a simulated CMB E-mode map of a Universe with the topology of a cubic 3-torus with dimensions . To this map noise was added corresponding to the SMICA map. The thick overlapping curves show the statistic for simulated polarization maps with angular resolution and noise level corresponding to the PlanckSMICA map for three cases: without high-pass filtering (solid, red); with filtering (dashed, blue); and with a 5% larger amplitude of noise (dot-dashed, green). The dotted line shows the false detection level established such that fewer than 1% of 300 Monte Carlo simulations of the high-pass filtered PlanckSMICA polarization maps, smoothed and masked in the same way as the data, would yield a false event.

Current usage metrics show cumulative count of Article Views (full-text article views including HTML views, PDF and ePub downloads, according to the available data) and Abstracts Views on Vision4Press platform.

Data correspond to usage on the plateform after 2015. The current usage metrics is available 48-96 hours after online publication and is updated daily on week days.

Initial download of the metrics may take a while.