Planck 2015 results
Free Access

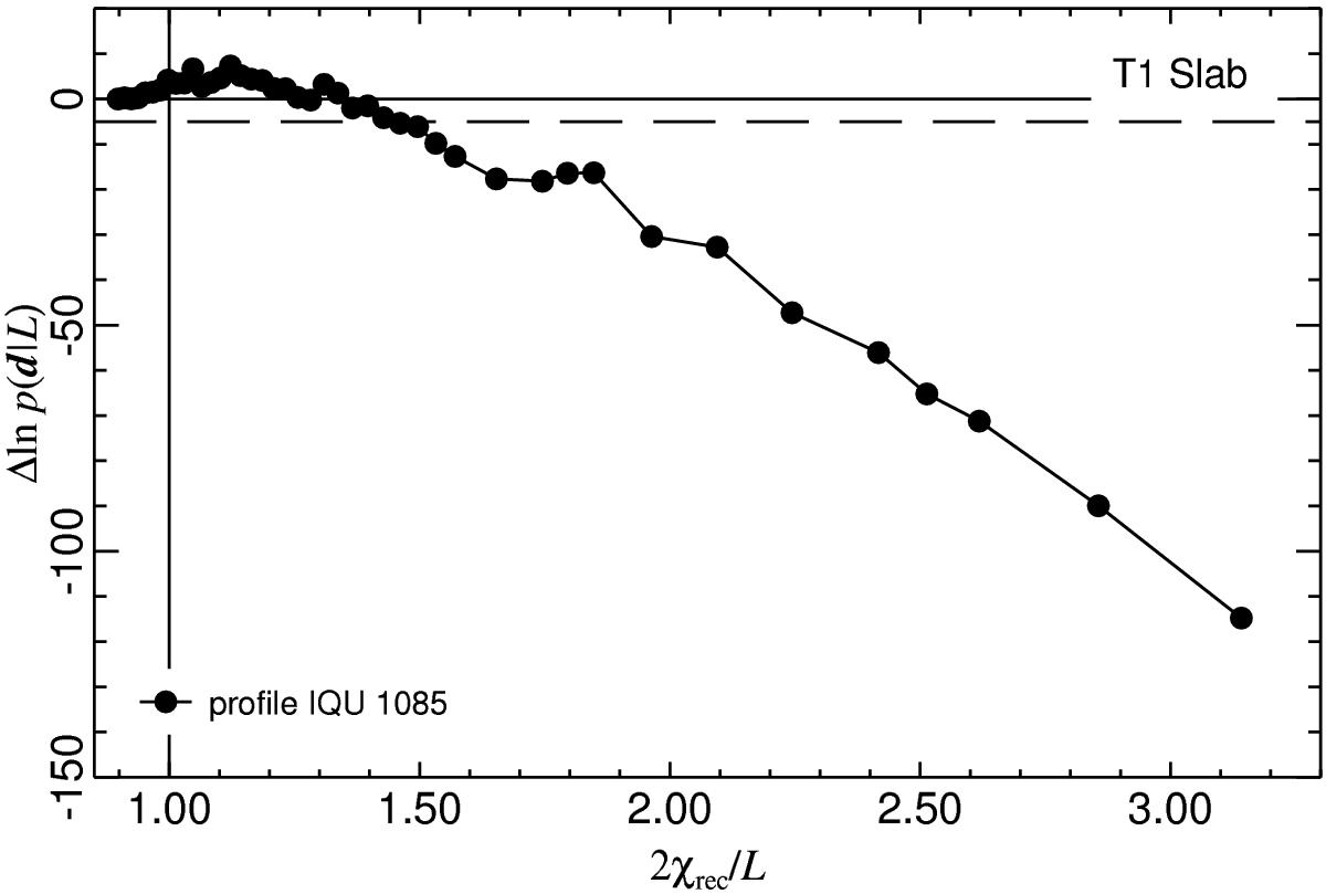
Fig. 8

image

Profile likelihood function for the fundamental domain scale of a slab topology derived from simulations of a simply-connected Universe. The vertical line marks the position where χrec is equal to the radius of the largest sphere that can be inscribed in the domain, i = L/ 2 (for slab spaces, the other two characteristic sizes are infinite).

Current usage metrics show cumulative count of Article Views (full-text article views including HTML views, PDF and ePub downloads, according to the available data) and Abstracts Views on Vision4Press platform.

Data correspond to usage on the plateform after 2015. The current usage metrics is available 48-96 hours after online publication and is updated daily on week days.

Initial download of the metrics may take a while.