Planck 2015 results
Free Access

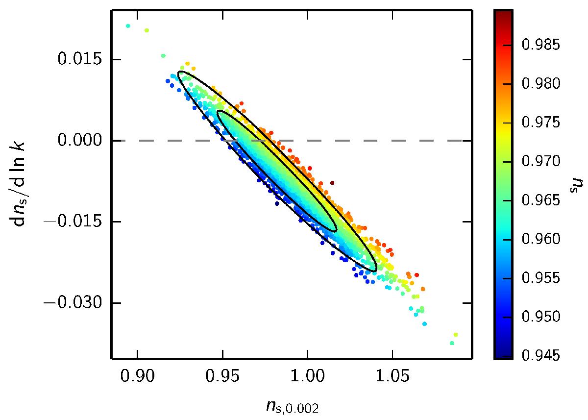
Fig. 23

image

Constraints on the running of the scalar spectral index in the ΛCDM model, using Planck TT+lowP (samples, coloured by the spectral index at k = 0.05 Mpc-1), and Planck TT,TE,EE+lowP (black contours). The Planck data are consistent with zero running, but also allow for significant negative running, which gives a positive tilt on large scales and hence less power on large scales.

Current usage metrics show cumulative count of Article Views (full-text article views including HTML views, PDF and ePub downloads, according to the available data) and Abstracts Views on Vision4Press platform.

Data correspond to usage on the plateform after 2015. The current usage metrics is available 48-96 hours after online publication and is updated daily on week days.

Initial download of the metrics may take a while.