Planck 2015 results
Free Access

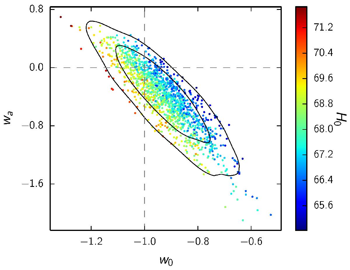
Fig. 27

image

Samples from the distribution of the dark energy parameters w0 and wa using Planck TT+lowP+BAO+JLA data, colour-coded by the value of the Hubble parameter H0. Contours show the corresponding 68% and 95% limits. Dashed grey lines intersect at the point in parameter space corresponding to a cosmological constant.

Current usage metrics show cumulative count of Article Views (full-text article views including HTML views, PDF and ePub downloads, according to the available data) and Abstracts Views on Vision4Press platform.

Data correspond to usage on the plateform after 2015. The current usage metrics is available 48-96 hours after online publication and is updated daily on week days.

Initial download of the metrics may take a while.