Planck 2015 results
Free Access

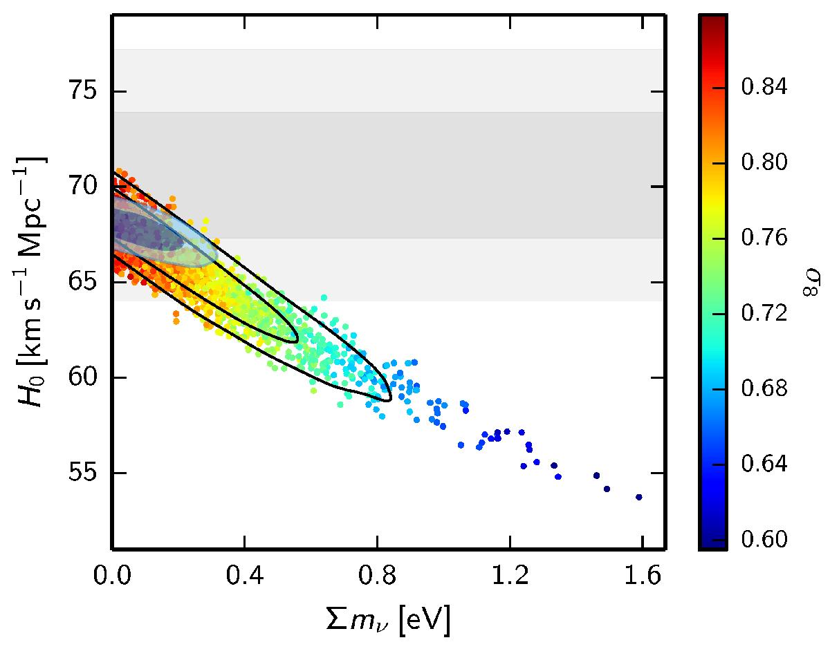
Fig. 29

image

Samples from the Planck TT+lowP posterior in the mνH0 plane, colour-coded by σ8. Higher mν damps the matter fluctuation amplitude σ8, but also decreases H0. The grey bands show the direct measurement, H0 = (70.6 ± 3.3) km s-1Mpc-1, Eq. (30). Solid black contours show the constraint from Planck TT+lowP+lensing (which mildly prefers larger masses), and filled contours show the constraints from Planck TT+lowP+lensing+BAO.

Current usage metrics show cumulative count of Article Views (full-text article views including HTML views, PDF and ePub downloads, according to the available data) and Abstracts Views on Vision4Press platform.

Data correspond to usage on the plateform after 2015. The current usage metrics is available 48-96 hours after online publication and is updated daily on week days.

Initial download of the metrics may take a while.