Planck 2015 results
Free Access

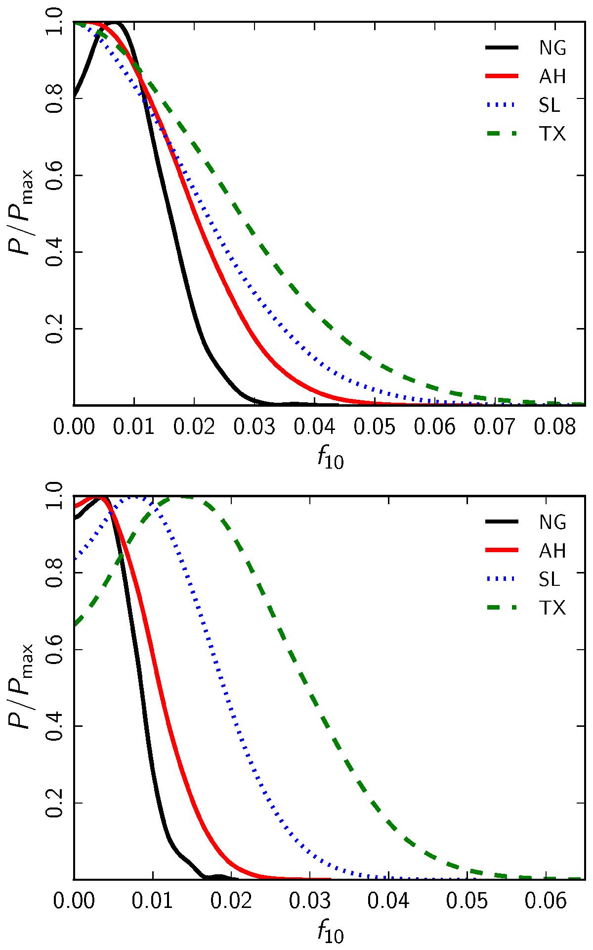
Fig. 46

image

Marginalized posterior distributions for the fractional contribution, f10, of the defect contribution to the temperature power spectrum at = 10 (see the text for the precise definition). Here we show the constraints for the Nambu-Goto cosmic strings (NG, solid black), field-theory simulations of Abelian-Higgs cosmic strings (AH, solid red), semi-local strings (SL, dotted blue), and global textures (TX, dashed green). The upper panel shows the 1D posterior for the Planck+lowP data, while constraints shown in the lower panel additionally use the TE and EE data.

This figure is made of several images, please see below:

Current usage metrics show cumulative count of Article Views (full-text article views including HTML views, PDF and ePub downloads, according to the available data) and Abstracts Views on Vision4Press platform.

Data correspond to usage on the plateform after 2015. The current usage metrics is available 48-96 hours after online publication and is updated daily on week days.

Initial download of the metrics may take a while.