Planck 2015 results
Free Access

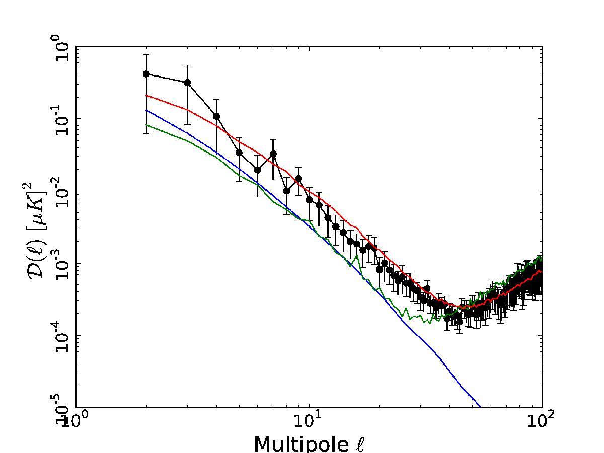
Fig. A.2

image

Comparison of the ISW-recovered angular power spectrum from 2MPZ data (black solid circles) with theoretical expectations (blue solid line) and the average of ideal (green solid line) and realistic (red solid line) simulations of our density-to-potential inversion algorithm (see text for details).

Current usage metrics show cumulative count of Article Views (full-text article views including HTML views, PDF and ePub downloads, according to the available data) and Abstracts Views on Vision4Press platform.

Data correspond to usage on the plateform after 2015. The current usage metrics is available 48-96 hours after online publication and is updated daily on week days.

Initial download of the metrics may take a while.