Planck 2015 results
Free Access

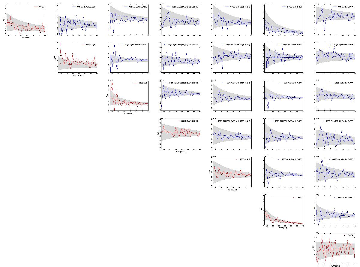
Fig. 5

image

Angular power spectra from the maps in Fig. 4 used to study the ISW effect through the CMB-LSS cross-correlation. From top to bottom: NVSS; SDSS-CMASS/LOWZ; SDSS-MphG; WISE-GAL; WISE-AGN; 2MPZ; and Kappa. The observed spectra are the points (red for auto-spectra and blue for the cross-spectra), while the theoretical models are represented by the dashed lines (the grey areas correspond to the sampling variance).

This figure is made of several images, please see below:

Current usage metrics show cumulative count of Article Views (full-text article views including HTML views, PDF and ePub downloads, according to the available data) and Abstracts Views on Vision4Press platform.

Data correspond to usage on the plateform after 2015. The current usage metrics is available 48-96 hours after online publication and is updated daily on week days.

Initial download of the metrics may take a while.