Planck 2015 results
Free Access

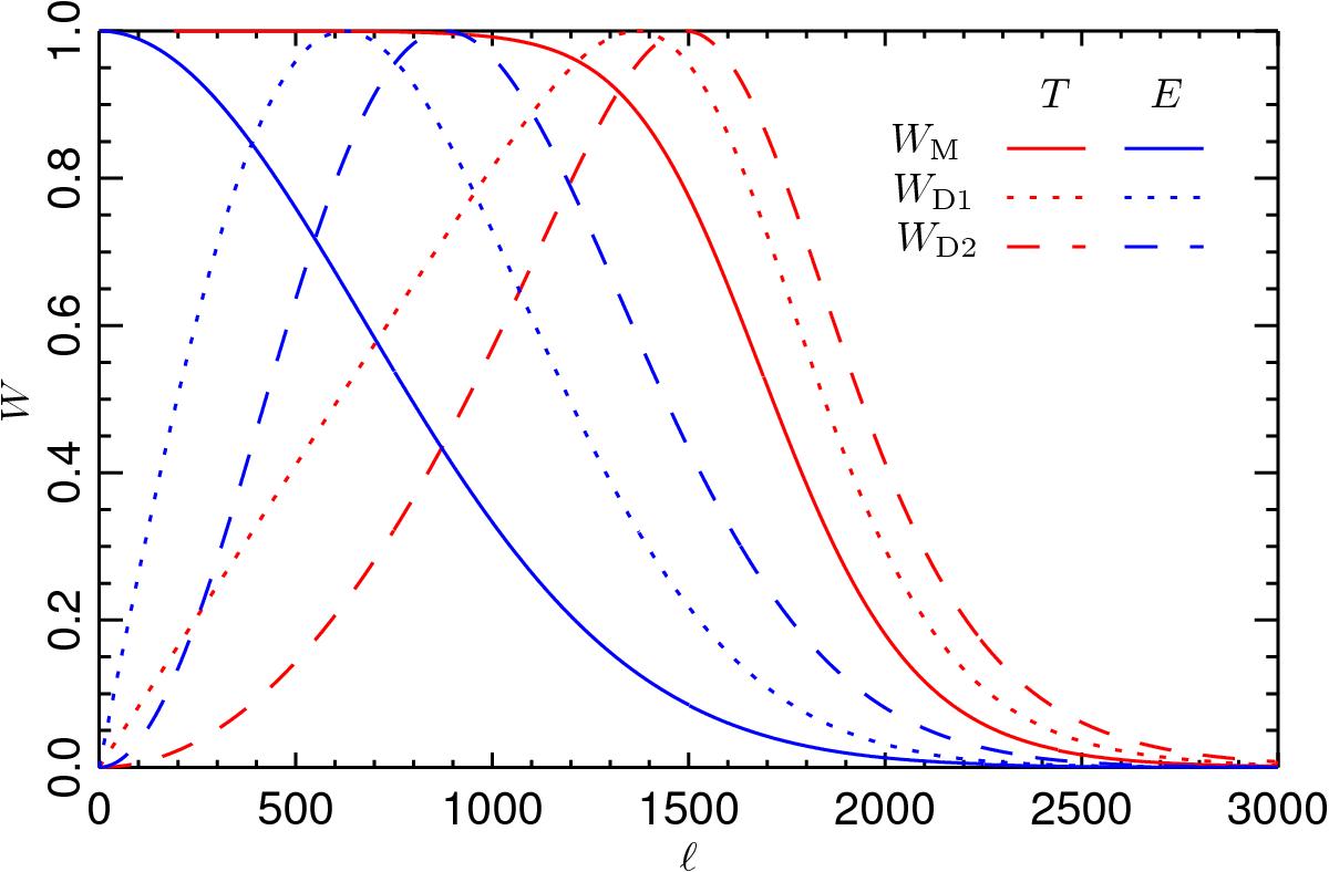
Fig. 27

image

Filters used to optimize constraints on local NG, in harmonic space. The temperature filter WM is a smoothed version of the true Wiener filter obtained with realistic models, while the E-mode WM filter is adapted from the temperature one, with a cutoff value at ≃ 800. The formulae for the derivative filters are given in Eq. (78).

Current usage metrics show cumulative count of Article Views (full-text article views including HTML views, PDF and ePub downloads, according to the available data) and Abstracts Views on Vision4Press platform.

Data correspond to usage on the plateform after 2015. The current usage metrics is available 48-96 hours after online publication and is updated daily on week days.

Initial download of the metrics may take a while.