Planck 2015 results
Free Access

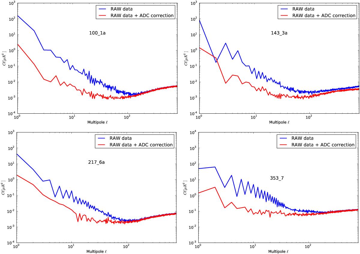
Fig. 19

image

Half-parity map difference spectra for the same bolometers as in Fig. 18. Blue: 2013 release without ADC correction. Red: the present data release with ADC correction. Below = 100 the noise should be flat when there is no ADC bias.

This figure is made of several images, please see below:

Current usage metrics show cumulative count of Article Views (full-text article views including HTML views, PDF and ePub downloads, according to the available data) and Abstracts Views on Vision4Press platform.

Data correspond to usage on the plateform after 2015. The current usage metrics is available 48-96 hours after online publication and is updated daily on week days.

Initial download of the metrics may take a while.