Planck 2015 results
Free Access

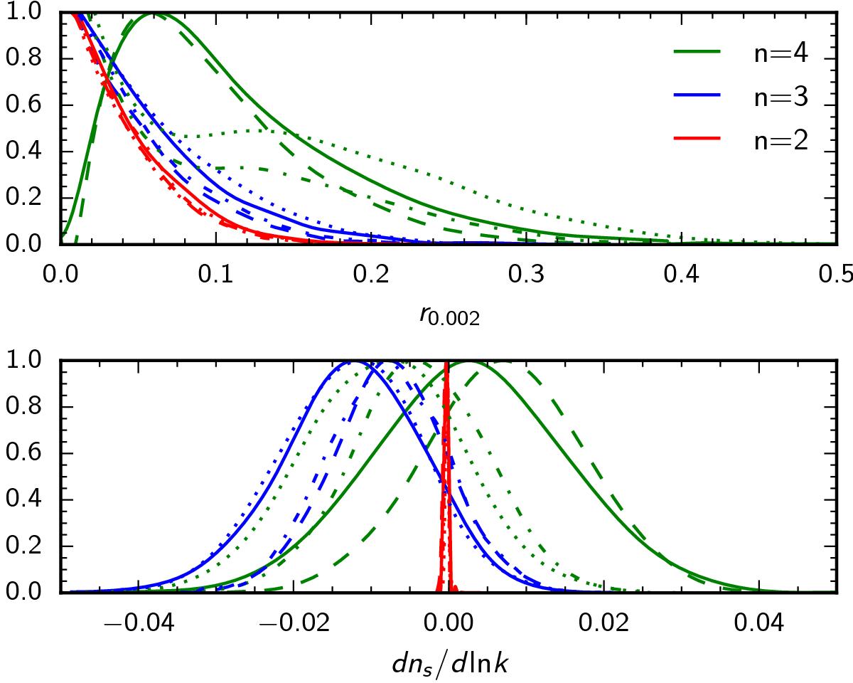
Fig. 16

image

Posterior distribution for the tensor-to-scalar ratio (at k = 0.002 Mpc-1) and for the running parameter dns/ dlnk (at k = 0.05 Mpc-1), for the potential reconstructions in Sects. 7.2 and 7.3. The V(φ) reconstruction gives the solid curves for Planck TT+lowP+BAO, or dashed for TT, TE, EE+lowP. The H(φ) reconstruction gives the dotted curves for Planck TT+lowP+BAO, or dashed-dotted for TT, TE, EE+lowP. The tensor-to-scalar ratio appears as a derived parameter, but by taking a flat prior on either ϵV or ϵH, we implicitly also take a nearly flat prior on r. The same applies to dns/ dlnk.

Current usage metrics show cumulative count of Article Views (full-text article views including HTML views, PDF and ePub downloads, according to the available data) and Abstracts Views on Vision4Press platform.

Data correspond to usage on the plateform after 2015. The current usage metrics is available 48-96 hours after online publication and is updated daily on week days.

Initial download of the metrics may take a while.