Planck 2015 results
Free Access

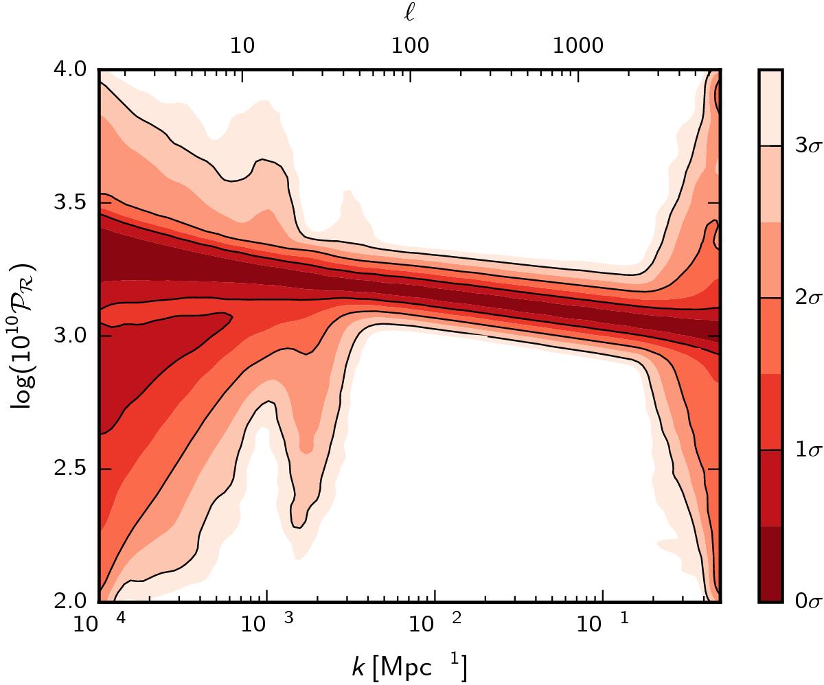
Fig. 26

image

Bayesian reconstruction of the primordial power spectrum averaged over different values of Nint (as shown in Fig. 24), weighted according to the Bayesian evidence. The region 30 << 2300 is highly constrained, but the resolution is lacking to say anything precise about higher . At lower , cosmic variance reduces our knowledge of The weights assigned to the lower Nint models outweigh those of the higher models, so no oscillatory features are visible here.

Current usage metrics show cumulative count of Article Views (full-text article views including HTML views, PDF and ePub downloads, according to the available data) and Abstracts Views on Vision4Press platform.

Data correspond to usage on the plateform after 2015. The current usage metrics is available 48-96 hours after online publication and is updated daily on week days.

Initial download of the metrics may take a while.