Planck 2015 results
Free Access

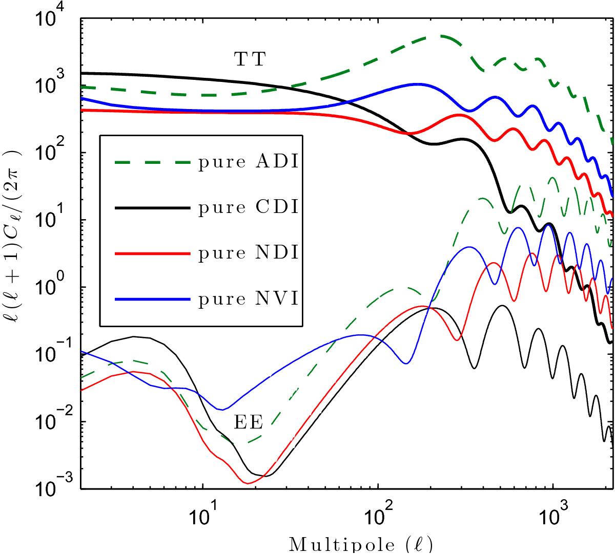
Fig. 43

image

Angular power spectra for the scale-invariant (i.e., nℛℛ = 1) pure adiabatic mode (ADI, green dashed curves) and for the scale invariant (nℐℐ = 1) pure isocurvature (CDI, NDI, or NVI) modes, with equal primordial perturbation amplitudes. The thick lines represent the temperature auto-correlation (TT) and the thin lines the E-mode polarization auto-correlation (EE).

Current usage metrics show cumulative count of Article Views (full-text article views including HTML views, PDF and ePub downloads, according to the available data) and Abstracts Views on Vision4Press platform.

Data correspond to usage on the plateform after 2015. The current usage metrics is available 48-96 hours after online publication and is updated daily on week days.

Initial download of the metrics may take a while.