Planck 2015 results
Free Access

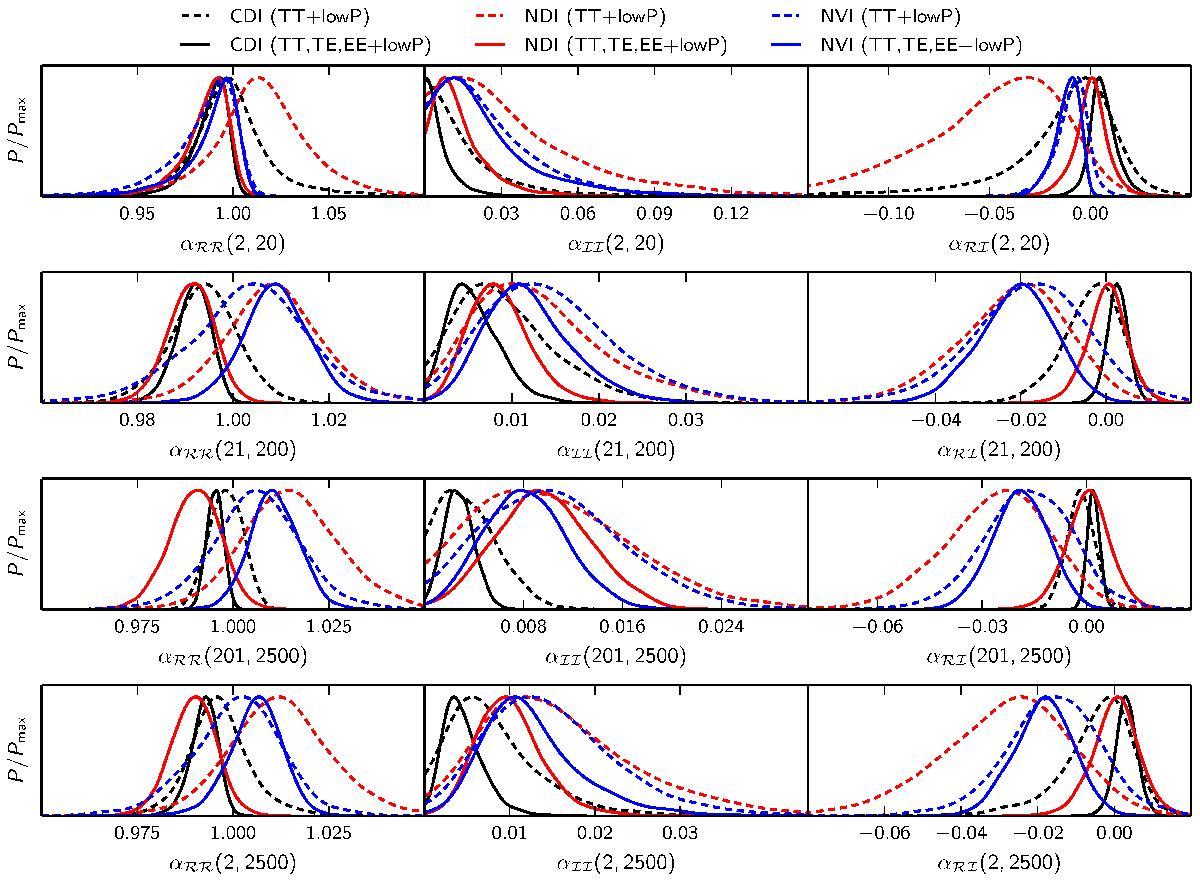
Fig. 46

image

Constraints on the fractional contribution of the adiabatic (ℛℛ), isocurvature (ℐℐ), and correlation (ℛℐ) components to the CMB temperature variance in various multipole ranges, as defined in Eq. (139), with Planck TT+lowP data (dashed curves) and with Planck TT, TE, EE+lowP data (solid curves). These are shown for the generally-correlated mixed ADI+CDI (black), ADI+NDI (red), or ADI+NVI (blue) models.

Current usage metrics show cumulative count of Article Views (full-text article views including HTML views, PDF and ePub downloads, according to the available data) and Abstracts Views on Vision4Press platform.

Data correspond to usage on the plateform after 2015. The current usage metrics is available 48-96 hours after online publication and is updated daily on week days.

Initial download of the metrics may take a while.