Planck 2015 results
Free Access

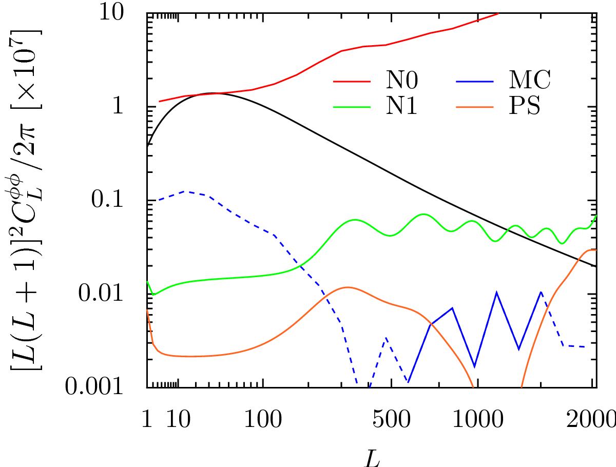
Fig. A.1

image

Lens reconstruction bias terms for the MV lensing estimator applied to the Planck 2015 SMICA maps. Dashed lines indicate regions where the bias term is negative. The fiducial ΛCDM theory power spectrum is plotted as the black solid line.

Current usage metrics show cumulative count of Article Views (full-text article views including HTML views, PDF and ePub downloads, according to the available data) and Abstracts Views on Vision4Press platform.

Data correspond to usage on the plateform after 2015. The current usage metrics is available 48-96 hours after online publication and is updated daily on week days.

Initial download of the metrics may take a while.