Planck 2015 results
Free Access

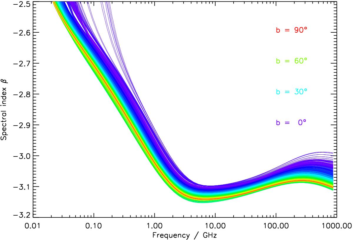
Fig. 15

image

Local spectral index of the synchrotron emission β(ν) = dlnT/ dlnν vs. frequency for a sample of pixels (one per Nside = 8 super-pixel), in the GALPROPz10LMPD_SUNfE model from Orlando & Strong (2013). The spectra are colour-coded by Galactic latitude: spectra at low latitudes show strong low-frequency curvature due to free-free absorption.

Current usage metrics show cumulative count of Article Views (full-text article views including HTML views, PDF and ePub downloads, according to the available data) and Abstracts Views on Vision4Press platform.

Data correspond to usage on the plateform after 2015. The current usage metrics is available 48-96 hours after online publication and is updated daily on week days.

Initial download of the metrics may take a while.