Planck 2015 results
Free Access

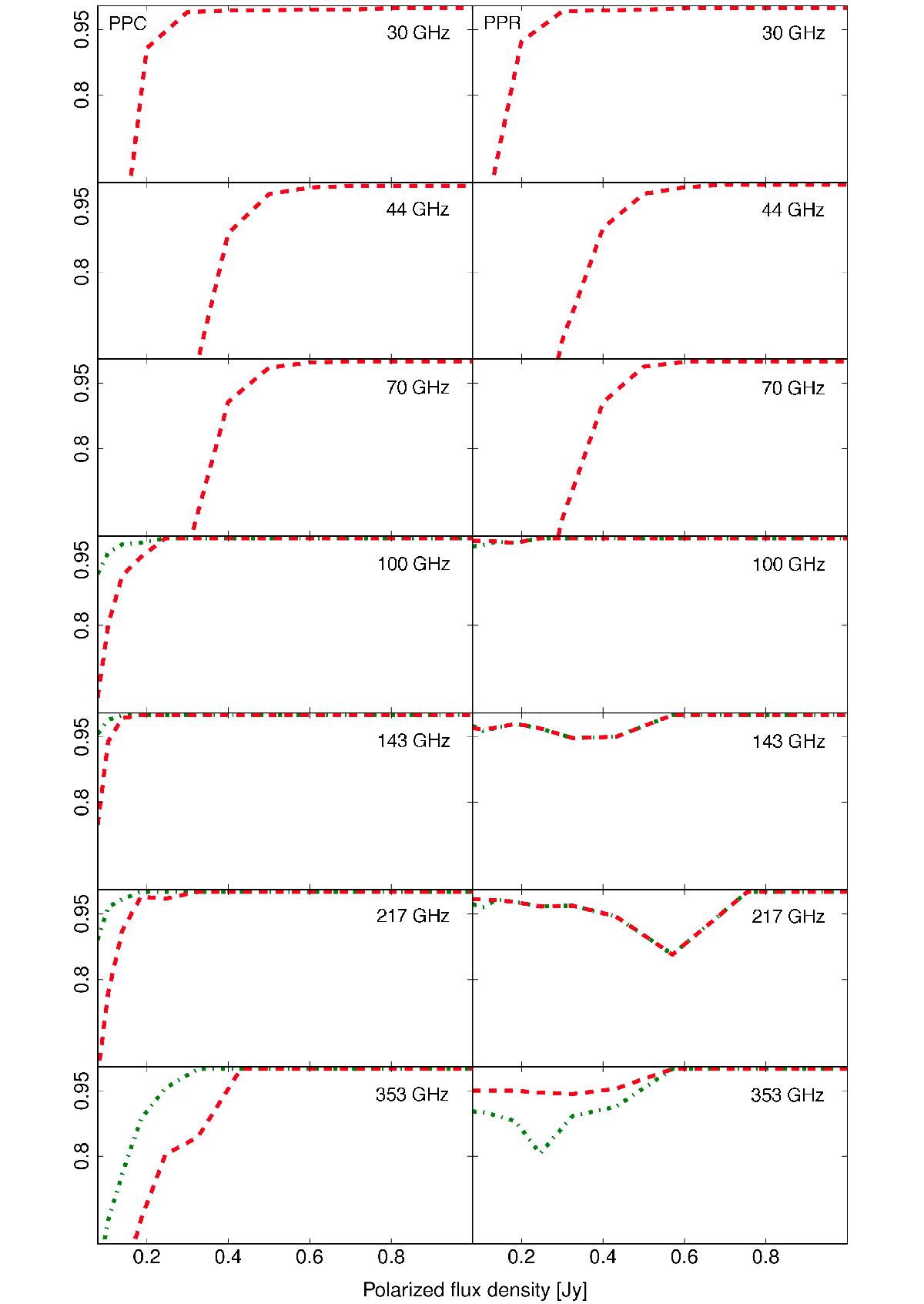
Fig. 18

image

Left: polarized photometric ompleteness (PPC). Right: polarized photometric reliability (PPR). Red dashed lines: derived with the common method applied to both LFI and HFI. Green dot-dashed lines: including the marginal polarization data (HFI only). From top to bottom, 30353 GHz. The plots were constructed using the PCCS2 catalogue only.

Current usage metrics show cumulative count of Article Views (full-text article views including HTML views, PDF and ePub downloads, according to the available data) and Abstracts Views on Vision4Press platform.

Data correspond to usage on the plateform after 2015. The current usage metrics is available 48-96 hours after online publication and is updated daily on week days.

Initial download of the metrics may take a while.