Planck 2015 results
Free Access

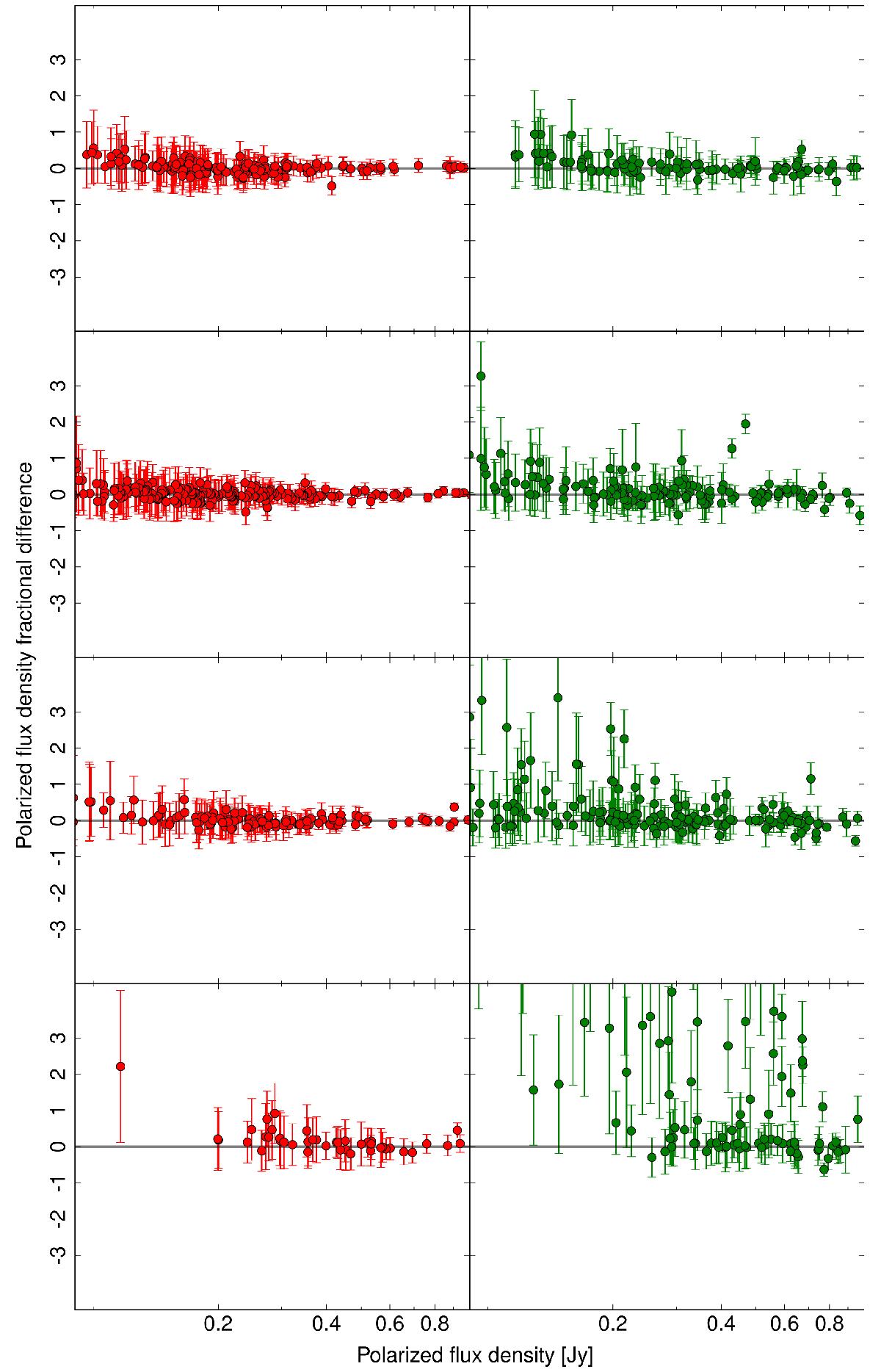
Fig. 22

image

Fractional difference between the true and recovered polarized flux densities, from top to bottom, for the 100353 GHz FFP8 simulations. Left (red): PCCS2. Right (green): PCCS2E. Here the fractional difference is defined as recovered minus true divided by the true value. These are the significantly polarized sources, as found by the common method, and the uncertainties associated with the best-fit estimates are ±3σ error bars. Eddington-type bias is seen at lower polarized flux densities.

Current usage metrics show cumulative count of Article Views (full-text article views including HTML views, PDF and ePub downloads, according to the available data) and Abstracts Views on Vision4Press platform.

Data correspond to usage on the plateform after 2015. The current usage metrics is available 48-96 hours after online publication and is updated daily on week days.

Initial download of the metrics may take a while.