Planck 2015 results
Free Access

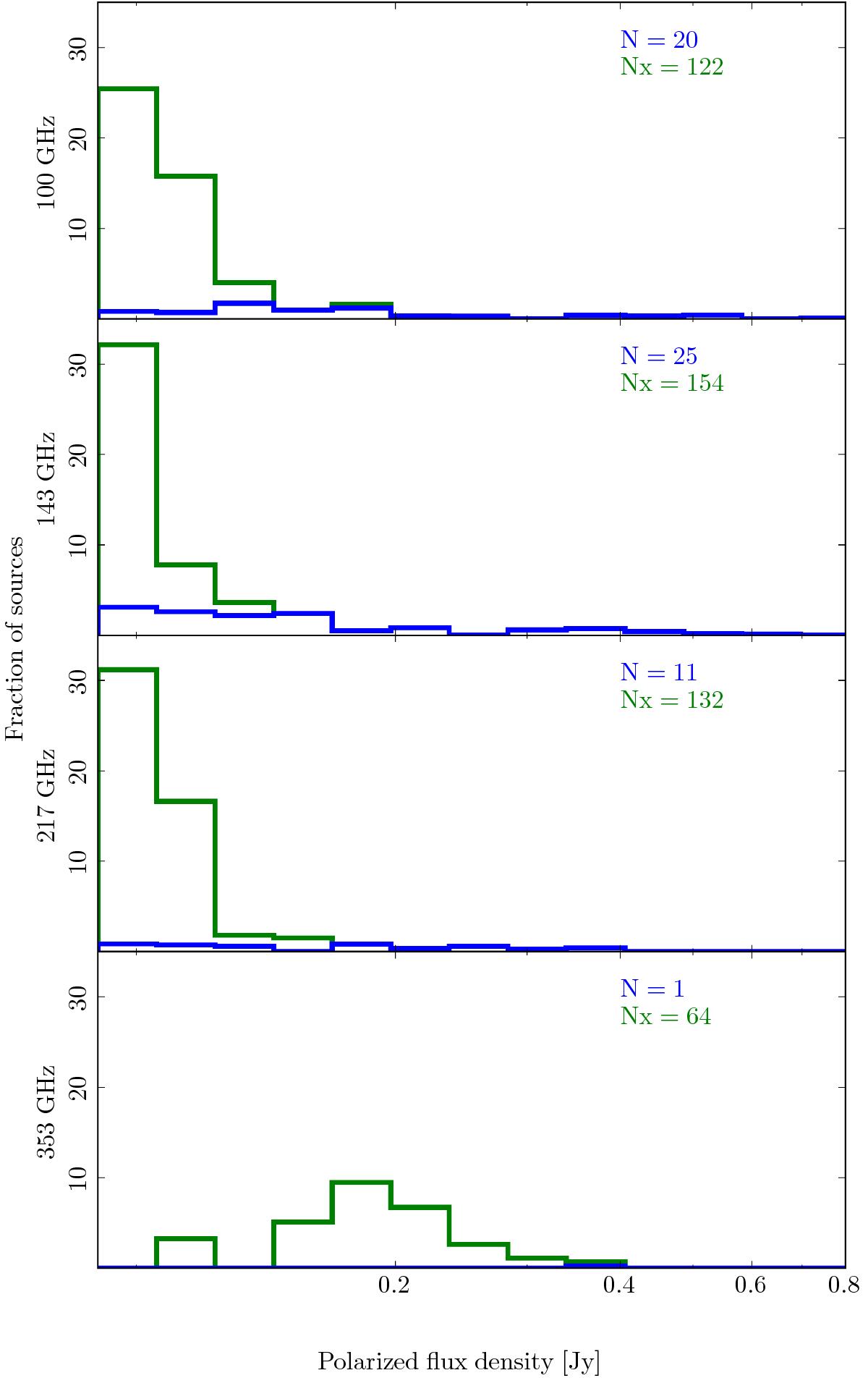
Fig. C.3

image

Normalized histograms of the polarized flux density from the PCCS2  catalogues for 100 to 353 GHz. The blue line shows the detections obtained using the common procedure used by both LFI and HFI, whereas the marginal detections, which are produced only for HFI, are shown in green. The number of sources in each group is shown in the top right of each panel.

Current usage metrics show cumulative count of Article Views (full-text article views including HTML views, PDF and ePub downloads, according to the available data) and Abstracts Views on Vision4Press platform.

Data correspond to usage on the plateform after 2015. The current usage metrics is available 48-96 hours after online publication and is updated daily on week days.

Initial download of the metrics may take a while.