Planck 2015 results
Free Access

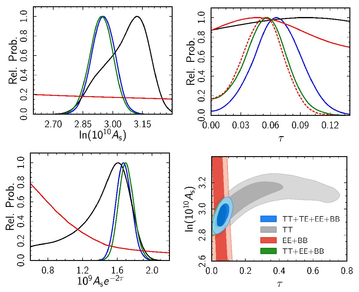
Fig. 6

image

Likelihoods for parameters from low- data. Panels 1–3: one-dimensional posteriors for log [1010As], τ, and Ase− 2τ for the several sub-blocks of the likelihood, for cases 1 (blue), 2 (black), 3 (red), and 4 (green) – see text for definitions; dashed red is the same as case 3 but imposes a sharp prior 109Ase− 2τ = 1.88. Panel 4: two-dimensional posterior for log [1010As] and τ for the same data combinations; shading indicates the 68% and 95% confidence regions.

This figure is made of several images, please see below:

Current usage metrics show cumulative count of Article Views (full-text article views including HTML views, PDF and ePub downloads, according to the available data) and Abstracts Views on Vision4Press platform.

Data correspond to usage on the plateform after 2015. The current usage metrics is available 48-96 hours after online publication and is updated daily on week days.

Initial download of the metrics may take a while.