Planck 2015 results
Free Access

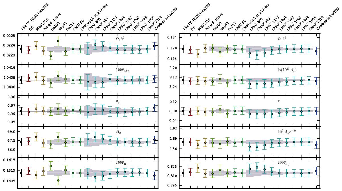
Fig. E.1

image

Marginal mean and 68% CL error bars on cosmological parameters estimated when adopting different data choices for the Plik likelihood, in comparison with results from alternate approaches or model. We assume a ΛCDM model and use variations of Plik TT, EE, TE in combination with the lowTEB likelihood for most of the cases. The “Plik TT, EE, TE+lowTEB” case (black dot and thin horizontal black line) indicates the baseline (HM, min = 30, max = 2508), while the other cases are described in Appendix C.3.5. The grey bands show the standard deviation of the expected parameter shift, for those cases where the data used are a sub-sample of the baseline likelihood data (see Eq. (53)). All the cases are run with PICO .

Current usage metrics show cumulative count of Article Views (full-text article views including HTML views, PDF and ePub downloads, according to the available data) and Abstracts Views on Vision4Press platform.

Data correspond to usage on the plateform after 2015. The current usage metrics is available 48-96 hours after online publication and is updated daily on week days.

Initial download of the metrics may take a while.